Community Tip - Did you get an answer that solved your problem? Please mark it as an Accepted Solution so others with the same problem can find the answer easily. X
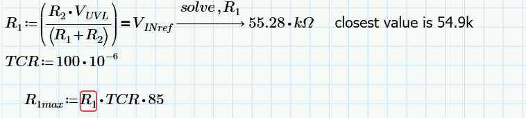
So I'm working with a trial account while practicing with this software for a new job. I've tried to set up a simple algebraic equation, and set the solution to that equation to a variable, in which you can see here:
I believe that I set the equation up correctly, however I'm getting this error telling me that R1 is not set up as a variable, despite me defining it with the solve above. What did I do wrong?
Solved! Go to Solution.
I guess you ran into an infamous Prime bug which occurs quite often when using symbolics - autolabelling!
Make sure that all variables, especially R1, are labelled the same (either all "Variable" or all "-" which means automatic).
It may also help if you turn on the option "Units/Constants in symbolics" in the calculation options.
But of course we can't be sure as of the cause of the error message without seeing the sheet ...
Attach your worksheet to check it.
I guess you ran into an infamous Prime bug which occurs quite often when using symbolics - autolabelling!
Make sure that all variables, especially R1, are labelled the same (either all "Variable" or all "-" which means automatic).
It may also help if you turn on the option "Units/Constants in symbolics" in the calculation options.
But of course we can't be sure as of the cause of the error message without seeing the sheet ...
So I went to actually remake the entire sheet as a sanity check, still had the problem. I swapped on that option, and problem resolved itself. I now have new other interesting bugs (I think) that I need to contend with, but this, which I think was my biggest blocker has been resolved. Really loving this software so far!
