Community Tip - Did you get an answer that solved your problem? Please mark it as an Accepted Solution so others with the same problem can find the answer easily. X
I need to create a list of solutions to a function based on tabulated inputs see the below not sure how to do this in Mathcad
Solved! Go to Solution.
@GD_10149406 wrote:
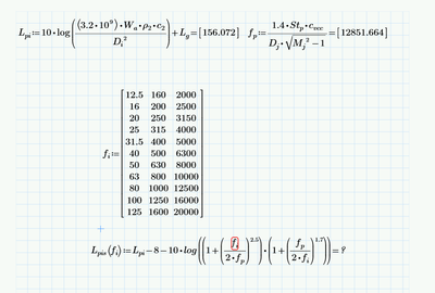
This is for predicting noise in a control valve, the variable Lpi is the internal sound pressure level at a reference pressure, fp is the peak frequency and both of these are known fi is the only changing variable. The table is all the third octaves.
So more like this?
Stuart
For a start you should create a worksheet with the tabled data and an attempt for the function definition and post it here.
You will also have to exlplain which frequency f.l and fp should be and why a function with the name L.pl uses a variable(!!) with the same name in its definition. Guess that you don't have recursion in mind, don't you?
Is this the kind of thing you were after?
Stuart
Mathcad Prime 10 worksheet attached.
This is for predicting noise in a control valve, the variable Lpi is the internal sound pressure level at a reference pressure, fp is the peak frequency and both of these are known fi is the only changing variable. The table is all the third octaves.
@GD_10149406 wrote:
This is for predicting noise in a control valve, the variable Lpi is the internal sound pressure level at a reference pressure, fp is the peak frequency and both of these are known fi is the only changing variable. The table is all the third octaves.
So more like this?
Stuart
