Community Tip - You can subscribe to a forum, label or individual post and receive email notifications when someone posts a new topic or reply. Learn more! X
Hi
I am using Mathcad 9.0. I want to find the current I1 and put the value into the second equation so that I can represent the equation in I=U/Z from. But I can do it manually and not in Mathcad.
I have attached my mathcad file as well as the picture, how I want to express my model.
Please provide your valuable time!
Regards,
Waqas
Solved! Go to Solution.
R1*I1 and R2*I2, * is required.
Thanks for looking into it. I have rectified the error.
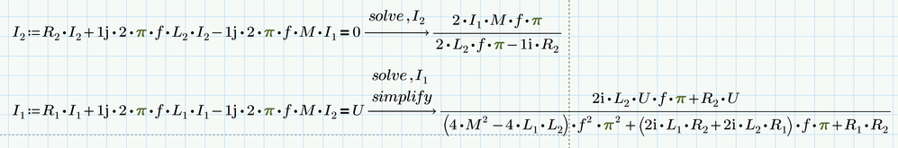
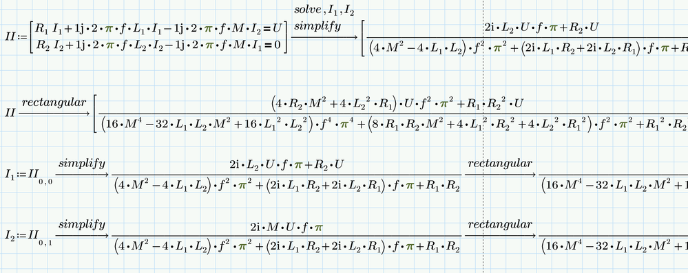
I have solved my problem manually, but I want to solve it using Mathcad. I have attached the picture of my manual calculation. The file is named as "a.jpg". I want to get a simplified value of I1 in the form of I1=U/Z. just like in the picture I have inserted along with the message.
Best,
Waqas
You have to type 1j (or 1i) for the imaginary unit - without any space or multiplication in between!
Unfortunately unlike in good old real Mathcad, the leading "1" is not suppressed when displaying the result.
You can set the math formatting for the whole sheet to display 1j instead of 1i, but the symbolics isn't integrated good enough in Prime and it ignores that setting and always shows just 1i.
You may define j:=1j at the top of the sheet so you can simply type j instead of 1j, but when evaluating expression symbolically you still will see 1i
Furthermore you have to place a multiplication character between R1 and I1 and also between R2 and I2. Either an explicit one (*)or and implicit one (Ctrl-U).
Dear Werner,
Thanks for looking into it. I have rectified the error.
I have solved my problem manually, but I want to solve it using Mathcad. I have attached the picture of my manual calculation. The file is named as "a.jpg". I want to get a simplified value of I1 in the form of I1=U/Z. just like in the picture I have inserted along with the message.
Best,
Waqas
Not sure that I understand.,
If you "simplify"/expand your manually derived result, don't you get the same expression for I2 as Prime does?
Dear Werner,
I might have explained the issue, clearly, my bad!
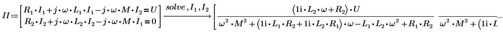
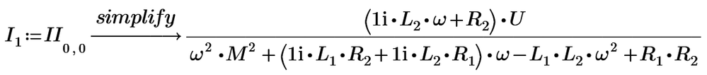
I found the I2 value manually from equation 2 and then put that value in equation 1 to find the value of I1 as I want to express I1 value in the form I1=U/Z.
Yes, the method you describe is solving the system. So your result and the one given by Prime should be equivalent.
You can let Prime make the step you described, but the result is the same as we get when we let Prime solve the system in one go
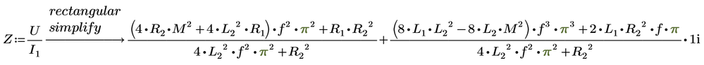
And the Z for which I2=U/Z can now be calculated that way
But as Luc said, we have not much ways to control the way how Primes symbolic would present its result 😞
You need to know that Prime has few possibilities to control the (shape of its) symbolic output.
You should definitely try the 'collect' keyword, which allows to get somewhere in the direction you want.
Success!
Luc
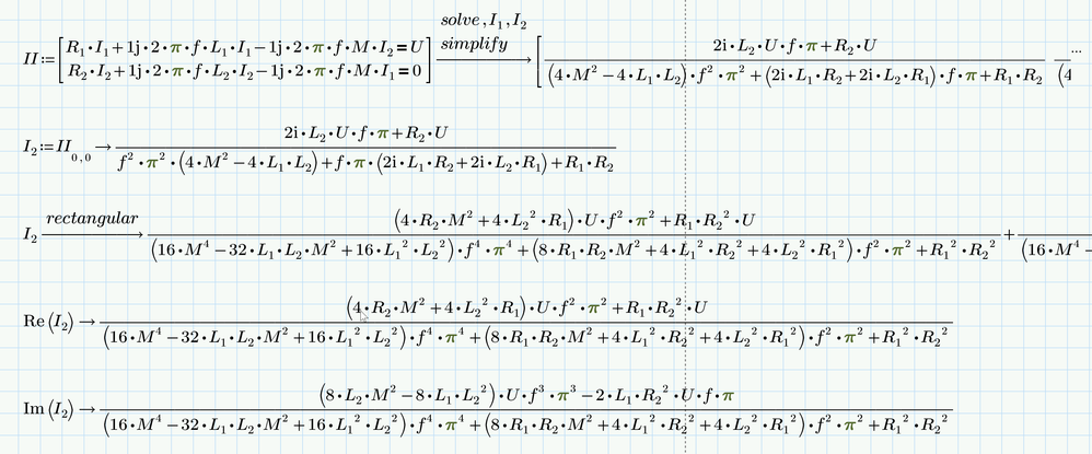
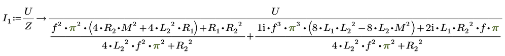
I did used collect but Still cant separate the "U" alone in the numerator. Unless "U" is not separated, the equation cannot be expressed in the form of I=U/Z.
I have attached the sheed of Mathcad 9.0.
Best,
Waqas
Thank you so much for taking time, it is quite helpful!
Best,
Waqas
Hi TTOKORO
I tried your method, but the real and imaginary parts are non consistent with your solution. i have attached the sheet of mathcad 9.0.
Regards,
Waqas
never mind, i solved it...😂
@MW_10727886 wrote:
I did used collect but Still cant separate the "U" alone in the numerator. Unless "U" is not separated, the equation cannot be expressed in the form of I=U/Z.
After calculating Z as shown in my previous answer you can present I1 in the form U/Z.
And if the denominator Z is not in the form you'd like it to be, I guess there is not much you could do 😞
Thank you so much for helping out, it helped alot, and thanks for sharing the sheet....
Best,
Waqas
