Community Tip - Did you get called away in the middle of writing a post? Don't worry you can find your unfinished post later in the Drafts section of your profile page. X
Hello!
I defined a function depending on one variable. Then I used the range operator for the value which my function depends on. I want to call out the max value of the function based on the range variables. The "max" command doesn't work. I think something is wrong with the equation, since the function can't be evaluated when I type the angle in parenthesis.
Please, take a look ath the attached sheet.
Sergey
Solved! Go to Solution.
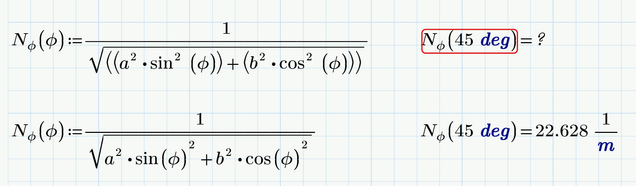
The problem is when you define your function.
You cannot use the convenient convention to write sin^2(x) for sin(x)^2.
If you highlight your function definition and look closely, you will see an implicit multiplication dot between sin^2 and the opening parenthesis. Obviously that can't work.
The other parenthesis you typed aren't wrong, but not necessary
You have to type it the other way to make it work:
To find the max value you shouldn't use a range but rather a vector of angles
Here the max-value is the one at angle zero, for b>a it would be at 90 degree.
The problem is when you define your function.
You cannot use the convenient convention to write sin^2(x) for sin(x)^2.
If you highlight your function definition and look closely, you will see an implicit multiplication dot between sin^2 and the opening parenthesis. Obviously that can't work.
The other parenthesis you typed aren't wrong, but not necessary
You have to type it the other way to make it work:
To find the max value you shouldn't use a range but rather a vector of angles
Here the max-value is the one at angle zero, for b>a it would be at 90 degree.
Thank you, it works.
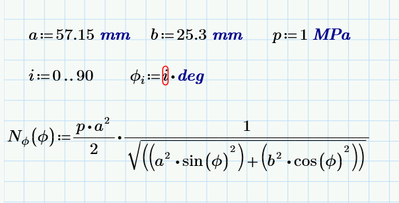
One thing that I do not get is that you are using "phi" with the subscrit of "i". But the functon is dependent on "phi" only. In my case I get an error message (his value must a scalar or a matrix):
The difference between ranges and vectors in Mathcad and Prime is always good for confusion.
Ranges should be used just for those three purposes:
1) use a range to index a matrix or vector
2) use a range for the ordinate values in an x-y-plot
3) use a range in a custom program when using a for-loop
In case of the i I was using this is just a range to index a vector of 91 angle values. The range starts at 0 because in your case you are using the default value 0 for the system variable ORIGIN.
If you would like to create a vector of angles like 2°, 2.5°,...7°, I would use i:=0..10 and angle[i := (2 + i/2) deg
There is an undocumented feature that if you define a range and immediately follow the definiton by an evaluation (= sign after the definition) this procedure turns the range into a vector. Thats quite convenient but because its undocumented you take the risk that the feature will not be available anymore in future versions. To define the aforementioned vector you would simply use angle:=2deg,2.5deg..7deg=
Note that the equal sign at the end is vital and its this equal sign which actually does the conversion trick.
The reason you get an error when you type phi_i is possibly because you used the literal index (the one with the shortcut "ctrl and -"). To define a vector element you have to use the matrix index instead. Either from the ribbon menu or use the shortcut "[".
I attach the Prime file for your convenience
What a great explanation, sir! Thank you. This is very informative.
