Community Tip - You can Bookmark boards, posts or articles that you'd like to access again easily! X
Hello everyone!
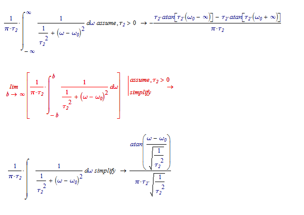
Why is the generalized integral, highlighted in the figure, null? when, instead, should it be 1?
Thank you very much
Greetings F. M.
Solved! Go to Solution.
The result of the indefinite integral with my mathcad 15 version, is the correct one.
Maybe this hlps to explain. (Mathcad 11 of course):
Success!
Luc
Thanks Luc for the answer. It would be more satisfying if you gave me an answer using mathcad 15, which is my version. If I open your file it gives me the wrong font style of the modifiers and then I have to change them to "variables". Once changed, from the results if I add" assume, omega0> 0" it returns 0.
What is Mathcad 15 /Mupad's result of the 3rd equation (the indefinite integral)?
Because that is what it (at least internally) should work with to get the result of the first equation.
Luc
Here is a result in Mathcad 15 M045 (warning for the second result "Result is too large to display"):
The result of the indefinite integral with my mathcad 15 version, is the correct one.
Since Maple was replaced by MuPad in Mathcad the program was "famous" for wrong symbolical integrals.
A lot of internal integral tables were corrected when they switched from Version 14 to version 15, but by far not all problems were fixed that way.
Mathcad / MuPad is just mediocre and can not compete with Maple or Mathematica in any way.
Here are some strange insights into the "thinking" of MuPad. Not sure why in the last integral the result should be 0 if 1/a >0 but something different if a not equals zero.
