Community Tip - Did you get an answer that solved your problem? Please mark it as an Accepted Solution so others with the same problem can find the answer easily. X
Can someone please advise on how to rectify the error in attache sheet?
Solved! Go to Solution.
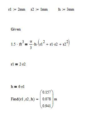
There are two changes needed.
(1) Put an explicit multiplication between h and the bracketed term.
(2) Change your initial guesses so they are not all the same.
Alan
There are two changes needed.
(1) Put an explicit multiplication between h and the bracketed term.
(2) Change your initial guesses so they are not all the same.
Alan
Hi Alan
Thanks that is sorted, I didn't know the initial guesses couldn't be same!
@ojoshi-2 wrote:
Hi Alan
Thanks that is sorted, I didn't know the initial guesses couldn't be same!
Sometimes they can! Just not in this case!
Alan
