Community Tip - Did you get called away in the middle of writing a post? Don't worry you can find your unfinished post later in the Drafts section of your profile page. X
I think this is the best probrem for electrical engneering students, original from MFra's post.
Try to solve by Mathcad or Prime 9 if you can.
If the values of R and L is below, and the applied voltage is 1 Hz, you can find the answer.
But the conditions are as original ones, Can Prime and Maple solve it or not?
Answer 1. By using covolution integral for 1 Hz problem.
Hi!
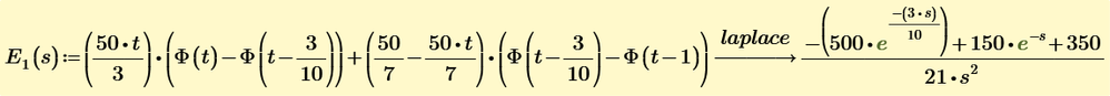
It would be more interesting to determine the response to this signal:
The applied voltage waveforms are below and their current responces are made by convolution integral.
Answer 2. By using Laplace convertion for 1 Hz problem.
Answer 3. Use convolution to solve the 1 Hz response.
Congratulations on the results obtained.
Answer 4. By using Fourier analysys and Laplace transform for from DC to 20th harmonics.
Below I and V are missed. i(t) is applied voltage and v(t) is transient current responce.
Because I used former RCRC sheet to solve.
Answer 5. By using solve block.
