Community Tip - You can subscribe to a forum, label or individual post and receive email notifications when someone posts a new topic or reply. Learn more! X
The bracketed root function requires opposite signs of the function value at the interval ends. Your problem is the same as:
But, guess:
then:
(comes close).
In Mathcad:
Success!
Luc
The bracketed root function requires opposite signs of the function value at the interval ends. Your problem is the same as:
But, guess:
then:
(comes close).
In Mathcad:
Success!
Luc
Ah, I see...
Read the error message carefully!
The function root() when given an interval finds only zeros where the curve crosses the x-axis, but not those where, as in your case, the curve only touches the x-axis. Therefore it is also required (see error message) that the function values at the interval boundaries must have different signs.
You could try the root() function without interval specification but with a guess value.
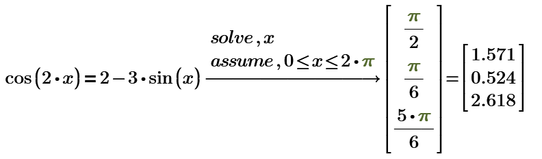
In your case the equation is quite simple and can be solved exactly.
Primes "new" symbolic unfortunately is not very capable in terms of user friendliness as it gives us
Compare this with the result of the old symbolic engine (muPad) in Prime 6
