Community Tip - Did you get called away in the middle of writing a post? Don't worry you can find your unfinished post later in the Drafts section of your profile page. X
Hi,
Distractedly, I used the "solve" operator to solve the given polynomial equation. It gives a solution but the answer is not complete. Why solve does not give the correct answer?
Solved! Go to Solution.
It's correct use, but potentially incorrect results, of solve.
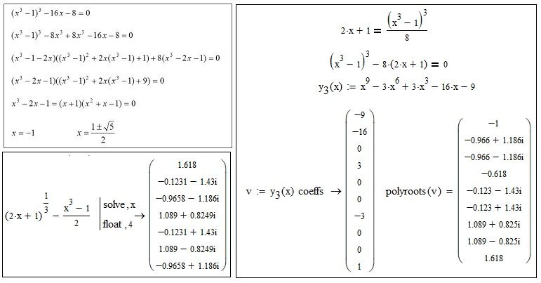
Apparently the exponent 1/3 is problematic. When given "(2*x+1)^(1/3)-(x^3-1)/2, solve x",
this is what WolframAlpha makes of it:
Note that:
and
each give you all 9 roots, but:
Gives 7 roots, and 6 duplicates. maybe if you add ", all" to the solve command it comes up with more.
Finally, check if -1 is a solution:
Apparently not. This is the wonder world of the exponent function when it's argument is (potentially) complex.
Success!
Luc
It's correct use, but potentially incorrect results, of solve.
Apparently the exponent 1/3 is problematic. When given "(2*x+1)^(1/3)-(x^3-1)/2, solve x",
this is what WolframAlpha makes of it:
Note that:
and
each give you all 9 roots, but:
Gives 7 roots, and 6 duplicates. maybe if you add ", all" to the solve command it comes up with more.
Finally, check if -1 is a solution:
Apparently not. This is the wonder world of the exponent function when it's argument is (potentially) complex.
Success!
Luc
Thanks for the reply. Greetings.
