Community Tip - When posting, your subject should be specific and summarize your question. Here are some additional tips on asking a great question. X
Hello again friends,
I have what is hopefully a simple headache in integration.
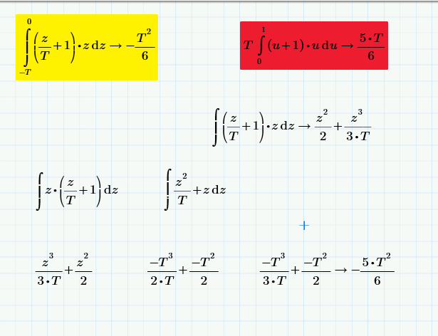
I am looking at the below and attached.
In yellow is the integral I am trying to work out manually as I need to be able to do this in a manual way. I have tried a 'nifty' short cut in red but this is way off.
Then I have tried integrating without the upper and lower limits of the integral by rearranging, expanding the brackets, then integrating. Then replacing z for -T and resolving. Although this gives me an answer with a extra 5 in the numerator?
Any ideas where I am going wrong?
A
Solved! Go to Solution.
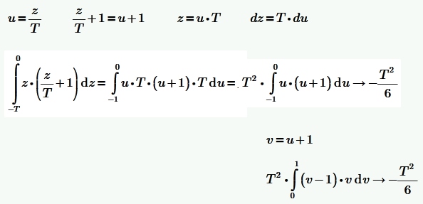
Concerning your "nifty short cut" - you'll have to explain what you had in mind! Which substitution which would generate those integral limits and I guess you forgot that you have replace the dz properly as well (so you are missing a factor T).

basically two errors.
1) (-T)^2 is not the same as -T^2
2) -T is the lower limit, so you have to subtract the expression from 0 (sign change)

Concerning your "nifty short cut" - you'll have to explain what you had in mind! Which substitution which would generate those integral limits and I guess you forgot that you have replace the dz properly as well (so you are missing a factor T).

Cheers Werner,
A real rookie error on my part.
Andy,
Here's a step by step solution

For learning purposes one can also use one of the free online integral calculators which also show step by step solutions
