Community Tip - Did you get an answer that solved your problem? Please mark it as an Accepted Solution so others with the same problem can find the answer easily. X
Hello Everyone.
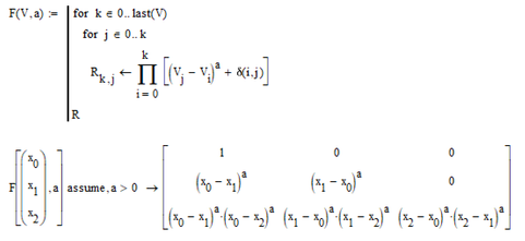
From :
Is there a way to edit the program function to otain the output as the above ?
Thanks in advance.
Solved! Go to Solution.
