Community Tip - Did you get called away in the middle of writing a post? Don't worry you can find your unfinished post later in the Drafts section of your profile page. X
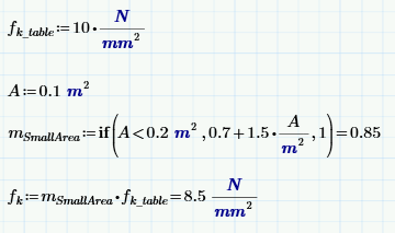
If its a "factor! I would expect it to be used in a product, not a sum.
BTW, are you sure you are posting in the proper area of this forum?
The forum software changed recently (not to the better) and is new to all of us.
In fact I have no idea which software you are talking about so I can't guide where you should post.
Click "Browse" in the top line and hopefully you will an entry for the software you need help for.
Good luck!
@Jaime_Lee Please move this discussion in Mathcad forum, here: https://community.ptc.com/t5/PTC-Mathcad-Questions/bd-p/PTCMathcad
Quickly searching online, I found this:
Please verify this is what you are asking about.
If so, then A should be divided by m^2 to get a unitless factor.
Edit:
Here is one possible implementation.
