Community Tip - Did you get called away in the middle of writing a post? Don't worry you can find your unfinished post later in the Drafts section of your profile page. X
Hi Guys,
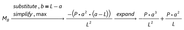
Can someone please simplify the final expression for fixed end moment for a point load at any point on the beam? Please see the attached file.
Solution should look like below expressions of Fixed end moment
Ma = -Pab^2/L^2
Mb = +Pa^2 b/L^2
Solved! Go to Solution.
Thank you for catching the error on multiplication error.
I solved the problem. see above.
You intended a product, but used an non-existing function b(...)
Then you get
If thats not the result you expect, you'll have to check your equations/formulas.
Your drawing suggests that b = L - a. If thats true, you could use "substitute" to get rid of b
Thank you for catching the error on multiplication error.
I solved the problem. see above.
Tricky 🙂
Could be done with just two substitutions and in one go
