Community Tip - If community subscription notifications are filling up your inbox you can set up a daily digest and get all your notifications in a single email. X
Is there a way to ressign the values to a variable in mathcad programming?
For example Es is 2.175 and Ec is 3.5 in a loop. Ec is fixed here and iterate Es until MEd is almost equal to MRd. If it doesn't happen then change the values of Es to 25 which is fixed and Ec iterated from 0 to 3.5 until MEd is almost equal to MRd. How to write a Mathcad program without repeating the steps.
Solved! Go to Solution.
hI,
Replace the common lines by a function.
Example is used for three instances of common lines,
Their replacement in major program highlight in the third instance what could be a mistake in following lines.
First Use:
Second Use:
Last Use which might highlight a msitake in following lines
Cheers
Terry
Hi,
Welcome to the forum.
Please upload your worksheet.
Look below the text input area box on the topic screen and you can see the file upload section of a post.
Cheers
Terry
Hello dear Terry,
here is the Mathcad sheet, which i am working on.
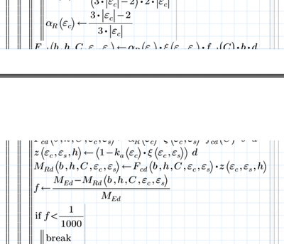
hI,
Replace the common lines by a function.
Example is used for three instances of common lines,
Their replacement in major program highlight in the third instance what could be a mistake in following lines.
First Use:
Second Use:
Last Use which might highlight a msitake in following lines
Cheers
Terry
