Community Tip - Did you get an answer that solved your problem? Please mark it as an Accepted Solution so others with the same problem can find the answer easily. X
I am having multiple issues with matrix operations in an FEA assignment.
The first was multiplying a transformation matrix by a stiffness matrix, I got an error stating the units were incompatible.
Removing the units from everything solved this.
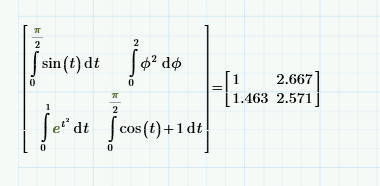
The second was an error with integrating inside a matrix. It said nothing was defined and I couldnt redefine any variables. It was like they were stuck with the origional variables. to solve this, I did the integration by hand instead.
Now I cannot get the local forces to transform into global.
I am unable to attach the file because this website says the contents of the attachment do not match its file type.
I will attach a screenshot instead.
Thanks in advance.
There still is a serious bug with this web site.
To attach a sheet file you best zip the prime sheet file: use windows explorer, select the file, right-mouse click and select 'send to' a 'compressed (.zip) folder'.
You can attach the .zip file with no problems.
Success!
Luc
And to answer your first question:
Success!
Luc
And here's an example of integrals as matrix elements:
