Question
Mechanical torsors
- April 1, 2021
- 1 reply
- 4833 views
Hi
I want to solve a mechanical torsors problem, but I don't know how to go about it with Mathcad
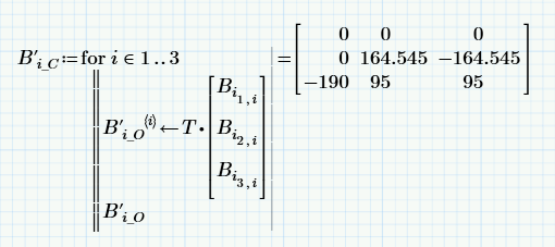
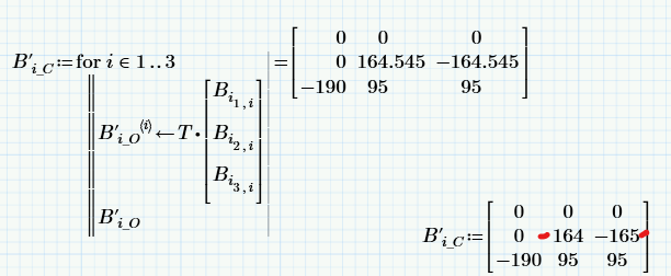
I have a circular platform. on this platforme i have 3 point B1,B2,B3
on each point i have a forces, respectively F1,F2,F3. About it i know directional vector for each forces.
My platform have a spherical joint in this center (point C).
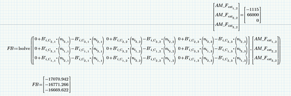
And i have a torsor which define exterior mechanical load applied on platform at C point.
1°/ i write mechanical component:

obviously expressed respectively at each point
Now, i want to solve it find FB1,FB2,FB3,X,Y,Z
For this, i want to make a torsors transportation on C point!
And now! i am stuck😥
I make a light mc file for add to this post

