We are aware of an issue causing pages to load incorrectly for some users and expect a fix soon. Sorry for the inconvenience.
I have a MathCAD 15.0 worksheet that calculates the moment and depth of embedment for a cantilevered pile and when I converted it to Prime 6.0.0.0, the "solve" command does not solve the equation that provides a solution in the MathCAD 15.0 worksheet. I have tried toggling the Legacy Symbolic Engine option with no success.
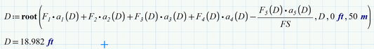
I would appreciate a review of the attached worksheets and comments on how to set up the equations in Prime 6.0.0.0 to solve the equation. The equation I am referring to is listed in Step 4 and is Dembed.
Thank you for your assistance.
Toggling the legacy symbolic solver works for me.
Note 1: result is too large to display, but it's there
Note 2: hit F9 to force a resolve.
I'm a bit surprised that reverting to legacy symbolics didn't work, since version 15 MuPad and Prime MuPad are (supposed to be) the same.
That said: Mathcad has always been a numerical solver, the symbolics have always been kind of an "add-on." Try solving your equation using a numeric solve block.
Look at the very top of the sheets, in the solve block, for the value of "H".
In Prime you have H:=15 ft but in real Mathcad you have H:=10 ft.
Make the value the same and you get the same results - at least if you use the legacy symbolic (muPad). The new symbolic (FriCAS) does not find a solution. FriCAS sure is not an adequate replacement for muPad but in upcoming versions of Prime it will be the only symbolic engine available.
BTW, you may consider using the "root" command instead of the various symbolic evaluations:
