Community Tip - Did you get called away in the middle of writing a post? Don't worry you can find your unfinished post later in the Drafts section of your profile page. X
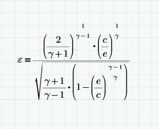
I am trying to use MathCAD to rearrange this equation to find e:
but when I do symbolic solve it says no solution found.
what am I doing wrong? If I do it as a solve block I can get a an answer for e, but I need to rewrite the equation so that I can put it in an excel sheet to do the calculations for furture use.
Thanks in advance for the help.
Solved! Go to Solution.
We understand your goal. What we are saying is that's not possible. There is no single equation that can solve for Pe. You'll need to use numerical methods of calculation. In Mathcad, this could be a solve block or root function. In Excel, the solver is probably your best option. In Excel, you could also have a table of possible values for Pe, calculate epsilon for each, and then do a lookup for the closest match.
Also, you'll need to address the fact that your equation can have multiple solutions. Which do you prefer in this case?
Not everything that can be solved numerically (e.g. solve block) can be solved symbolically. Due to the complexity of this equation, I'm not surprised that no solution is found. It might be possible to find a solution by applying some constraints. Use the symbolic keyword "assume" before "solve". For example, is gamma always bigger than 1? If so, include "assume, gamma>1".
The problem is that gamma is unknown.
If you substitute (e/c)^(1/gamma)=ecg then after some manipulation you can reduce it to:
ecg^2 - ecg^(gamma+1) = some expression in gamma and epsilon.
This will not solve symbolically, simply because gamma is unknown.
But if you set gamma to a known integer value (unequal to -1, 0 and +1), you can get a solution for e.
Example:
And you can even get solutions for gamma=1/2 or 1/3, but I'll spare you the (huge) results.
Success!
Luc
Hi,
you can solve the equation this way:
Thanks for the solutions so far everyone.
I believe I need to clear some things up. My main goal is to rewrite the equation to get Pe by itself, but I am having issues manipulating the equation.
I actually have values for everything but Pe. I am trying to make the excel sheet so that I can change gamma,Pc, and epsilon so that I can get the values of Pe without doing a solve block in mathcad or solver in excel.The ranges for gamma are 1.13 to 1.66, Pc are 10 to 2500, and epsilon are 3.5 to 100. I am currently using values of gamma=1.24, Pc=350, and epsilon=6.67
We understand your goal. What we are saying is that's not possible. There is no single equation that can solve for Pe. You'll need to use numerical methods of calculation. In Mathcad, this could be a solve block or root function. In Excel, the solver is probably your best option. In Excel, you could also have a table of possible values for Pe, calculate epsilon for each, and then do a lookup for the closest match.
Also, you'll need to address the fact that your equation can have multiple solutions. Which do you prefer in this case?
@MJG wrote:
In Excel, you could also have a table of possible values for Pe, calculate epsilon for each, and then do a lookup for the closest match.
I was curious to explore this concept. Attached is what I came up with. I provide it with little/no explanation, so hopefully you can follow my logic.
Note that I did nothing to address the fact that you may have multiple solutions. This approach just finds a solution. Which one it finds is dependent on the inputs.
If you're familiar with VBA programming, you could create a custom function that performs a similar calculation and then iterates until the variance is below an acceptable level. Maybe someone in an Excel forum even has a better idea for a custom function.
