Community Tip - If community subscription notifications are filling up your inbox you can set up a daily digest and get all your notifications in a single email. X
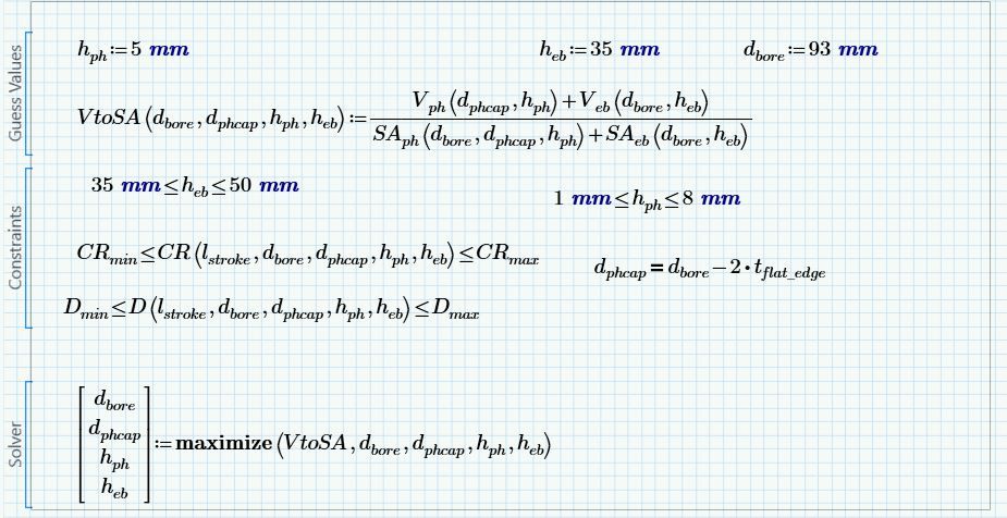
I been trying to change the guess value but with no success.
Check your equations.
Here's what's happening with your first constraint:
Note that the Y-axis runs from 1 to 1, which means that the expression involving those V's only produces values close to 1 over the entire range of heb values. I checked all 8 values of hph from 1 to 8 mm: All about the same.
So how will you ever get the result between 7 and 9?
Success!
Luc
Thank you Luc
I am not understanding why it is giving no solution within solve block
I think Luc is suggesting that Mathcad can't find a solution because there isn't one (or, at least, not in the domain of interest to you). Hence, why he also suggests that you might like to check your equations and values.
Cheers,
Stuart
Hi,
Enclosed file is solution to the problem.
Cheers
Terry
