Community Tip - Did you get an answer that solved your problem? Please mark it as an Accepted Solution so others with the same problem can find the answer easily. X
Hello everyone, maybe someone can help me solve or has a ready-made solution for solving a system of nonlinear equations by the gradient descent method. I use PTC Mathcad Express Prime 9.0.0.0
Solved! Go to Solution.
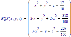
Incorrect, check the results. You have a square z in the first row, instead of just z.
There are two possible solutions, one is: 1, 1, 3/10 (exactly).
Proof:
The other is approximately
Success!
Luc
This is one solution but is possibly not the only one.
Thanks can you send a file?
Incorrect, check the results. You have a square z in the first row, instead of just z.
There are two possible solutions, one is: 1, 1, 3/10 (exactly).
Proof:
The other is approximately
Success!
Luc
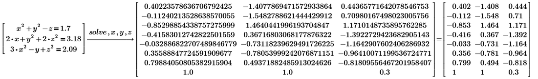
I think there are in fact eight solutions (or at least eight)...:
Thaks a lot
I guess you are right. The solution with x=-0.853 is one of a 7th order polynomial.
Luc
As Cornel noted, there are 8 solutions. The attached shows how to find them in an Express version of Prime, where there are no solve blocks available.
Just set the value of "column" to any integer between 0 and 7 inclusive to find the various solutions. (I used Prime 8 Express, so you should be able to load it directly into Prime 9 Express).
Alan
Thanks Alan for this nice algorithm.
I've created a function Solve for it that (of course) works in Prime Express:
Enjoy!
Luc
Very clever solve function definition Luc, well done!
Alan
