Community Tip - Did you get called away in the middle of writing a post? Don't worry you can find your unfinished post later in the Drafts section of your profile page. X
Hello,
I am trying to solve a differential equation for a clamped Circular Kirchhoff-Love plate.
Why am I getting this error in my displacement function w(r)?
Solved! Go to Solution.
So we can't use w(0)=0 as initial conditions as I did and you need to provide a new fourth condition.
How about w''(0)=0 ?
EDIT: I am not into mechanics myself so I am not sure but maybe Chapter 4 here
http://imechanica.org/files/4_Bending%20of%20plates.pdf
can help you to find two reasonable additional initial conditions.
Attach please the Mathcad Prime sheet!
Here you are!
You have to expand the nested derivatives to make it work (best done symbolically, like Fred had shown) and you have to add two more initial conditions:
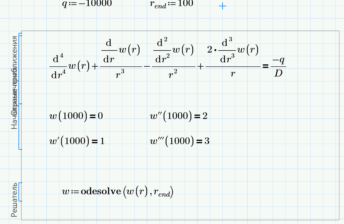
The thing is, when r=0 -> center of the plate in cylindrical coordinates , I don't know the value, in fact, that's the value I will be looking for, because it will be the maximum deflection of the circular plate.
Probably because you're trying to solve a fourth order differential equation
Oh, so what are the restrictions when trying to solve differential equations?
I would have expected 4 initial conditions for a fourth order DE, not just 2.
What are the values of q and D?
When Valery asked for the sheet he meant the mcdx file so we can open it in Prime. Chances are you will have to zip it first before you can upload it here because of a severe bug in the forum software.
That will be a circular plate with a uniform loading that's clamped at the edge. So I guess we can set w'(0)=0
I was retrieving the values from a PRT file, but q and D can be whatever.
The file is attached.
In the meantime I played around with Mathcad 15 (much faster and more capable and comfortable) and assigned arbitrary values for q and D and added two more initial conditions.
You can't use w(0) or w'(0) as your expression is not defined for r=0 (divison by zero!)
Maybe I'm missing something, either from my calculus classes or from my applied mechanics one. But can anyone here help me in getting to this (image attached) without actually utilizing the analytical solution?
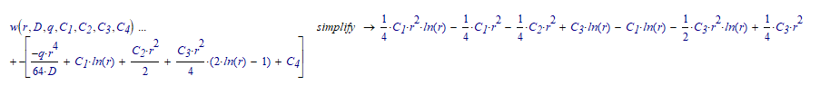
Here's the full solution for any value of q, D and R(adius of the disk):
So with that we should be able to continue as follows:
This function is large, but that does not prevent us from using it:
And we can even see what it does (or would do) for values of r beyond the size of the disk R:
Success!
Luc
Notice! However that my result differs from the one your picture, when I subtract them I don't get 0:
So far I wasn't able to locate where I went wrong.
I get this:
Too few initial conditions...{also when the second is correctly written as w'(1000)=0}
You must add two (it's a fourth order).
I can't open you .prt file.... What are values for q and D ?
Luc
Hi,
I have chosen Adams/BDF,
The thing is, when r=0 -> center of the plate in cylindrical coordinates , I don't know the value, in fact, that's the value I will be looking for, because it will be the maximum deflection of the circular plate.
What I know is that at the edge of the circular plate (r=1000) my deflection is 0, as well as my angle (clamped)
So we can't use w(0)=0 as initial conditions as I did and you need to provide a new fourth condition.
How about w''(0)=0 ?
EDIT: I am not into mechanics myself so I am not sure but maybe Chapter 4 here
http://imechanica.org/files/4_Bending%20of%20plates.pdf
can help you to find two reasonable additional initial conditions.
Thank you so much. I will be using that.
@lferreira wrote:
Thank you so much. I will be using that.
Careful! As already said I have no mechanical background so I have no idea if setting w''(0)=0 is reasonable at all for your application.
Seems to me you can define deflection and slope at the edge (zero deflection and zero slope, clamped, AKA fixed) and at the center (max deflection, tabulated equation, zero slope, it's the max deflection).
That said, I haven't been able to make it work.
