Community Tip - Did you get an answer that solved your problem? Please mark it as an Accepted Solution so others with the same problem can find the answer easily. X
Hi, I'm fairly new to Mathcad. Trying to plot the solution to a differential equation but I can't seem to get it working. I've attached the necessary files.
Thanks!
Solved! Go to Solution.
You used a wrong syntax for odesolve!
Hi,
Sorry to bother you again, whenever I raise x(t) to the 2nd power, so: x(t)^2 the odesolver breaks. It gives me: Unkown error.
Any idea how to fix this?
heres the code, I changed x to v.
As v1 and v2 are independent from each other I would rather use a separate solve block for each of them.
But it should work the way you has done, too.
The problem is the equation for v1. when t increases, v1(t) decreases dramatically and Primes algorithm would fails because it does not converge,
You may look for the equation if its correct.
Only solution so far seems to be to set Tf to a lower value. Tf=2.65 seems to be the largest value possible.
Hi
Thanks for the response, it works perfectly now. Thank you so much!
The equation is fine, its just that the equation has a 'limit' before it becomes 'invalid'.
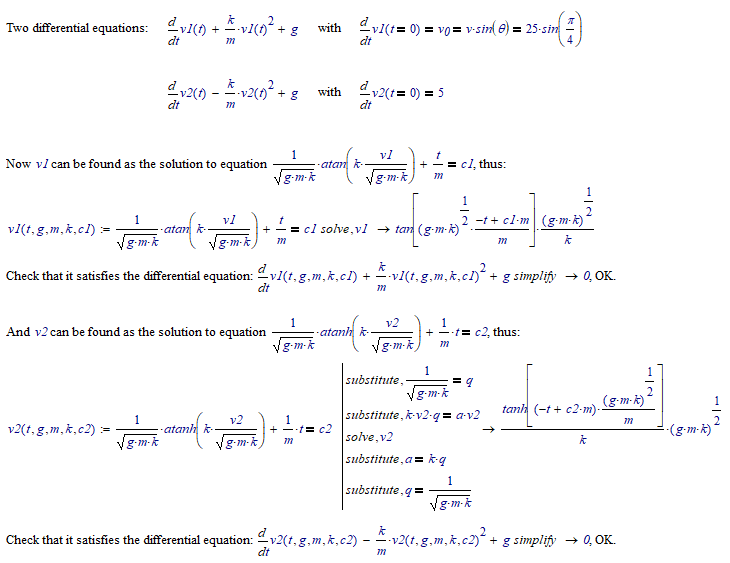
These are the equations of motions with air resistance, the projectile goes up, both gravity and friction work against it but once it reaches the top and goes down, only friction works against the ball, which is where the second equation comes in.
This can't be right, or am I looking wrong...
The derivative of v2 w.r.t. time t must be 5 at t=0. I see the black trace (for v2) in the graph go down when t is going up from 0.
Likewise for v1. The derivative of v1 must be 25sin(pi/4) {about 17} at t=0. I see the red trace going down there.
I get the same results in Mathcad 11: When the initial conditions are specified with primes ('):
As well as when they are given without:
Turning to the help info, it says that the initial conditions MUST be given for the primitive function(s) and its/their derivative(s) up to an order one less than the order of the DE, at a single point.
Mathcad (and apparently Prime as well) simply ignore the prime...? How does Mathcad 15?
Luc
But before I found that I had it solved symbolically:
Notice that:
The above is based upon the set of differential equations given.
Success!
Luc
BUT, if the initial conditions were meant to be v1(0)=25*sin(pi/4) and v2(0)=5, then the Odesolve solution is OK, and the symbolic solution is:
Success!
Luc
Hi Luc!
Thanks for your response and excellent explanation.
I was going over it and indeed I messed up some things. Thanks for pointing it out!
