Community Tip - Stay updated on what is happening on the PTC Community by subscribing to PTC Community Announcements. X
There is a quadratic algebraic equation. Is it possible, according to its coefficients a, b, and c, to form a system of two linear algebraic equations with the same roots as the quadratic equation?
Others word! Can I use the lsolve function for the solving a quadratic algebraic equation?
Solved! Go to Solution.
I used to work with older (back then) engineers who were adept at EXCEL and adverse to Mathcad, We could get curve fits to polynomials by "creating" a column with the values for the other powers and using the EXCEL function "linest". A similar trick should work for lsolve; that trick used in a least square matrix solver in Prime 4 is attached.
Nice exercise Fred, but I don't see it solve the quadratic, or am I missing something?
Luc
I'm afraid not, Valery:
Success!
Luc
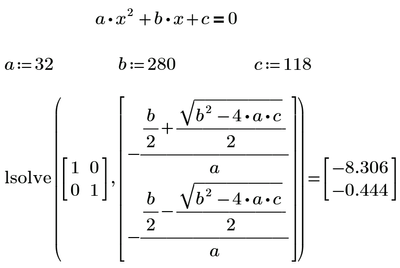
I use the lsolve function for the solving a quadratic algebraic equation?
Yes, we can! ![]()
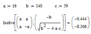
Equally unfair but a little bit nicer
Здравствуйте. Решал задачу в mathCad: методом наименьших квадратов рассчитать коэффициенты уравнения по результатам решения показаного в таблице полного двохуровневого трьохфакторного плана ПФЕ. Праподаватель сказал что есть ошибки, больше ничего не сказал, поможете?
I think it will be better to write your question in English and put it here as new message!
And better to have comments in your Mathcad-sheet in English!
