Community Tip - If community subscription notifications are filling up your inbox you can set up a daily digest and get all your notifications in a single email. X
As per this thread - same issue
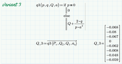
How to solve the the expression is divided by zero in the above - attachment mathcad prime 8 files
Here are a few variants to chose from:
thankyou
Hi,
One way is to use a try-error statement in the programming to catch the divide by zero error
Cheers
Terry
We have the if operator without else.
It will be good to have the try operator without on error!
