Community Tip - Did you get an answer that solved your problem? Please mark it as an Accepted Solution so others with the same problem can find the answer easily. X
As per this thread , same issue.
Hello Luc,
Many thanks for developing the LODEsolve function.
In the explanation is stated:
" You cannot specify an initial condition for a value of the independent parameter other than 0. See examples on how to deal with that situation".
I have a curved beam with three boundary conditions at each end of the beam (theta = 0 and theta = phi). The beam is described by three second order differential equations. In can't find an example'that deals with this situation. Is it possible to have multiple boundary conditions at different independent parameters? If yes, can you explain how to handle this situation?
Kind regards,
Ton
Can you share the Mathcad worksheet file?
Preferably saved as a Mathcad 11 (.MCD) file.
Luc
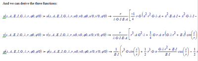
Well Ton,
Or, in full:
Attached is the Mathcad 11 file.
Note that you need to use the Mathcad 15 (.xmcd) edition of the LODEsolve file to run it in Mathcad 15.
(You can either remove the top of the attached file, notably the collapsed region, and insert the LODEsolve.xmcd file as a reference in place, or you can copy the equations over to a copy of the LODEsolve.xmcd file.)
Success!
Luc
Hello Luc,
Thanks for your reply, I only now saw it. It looks very promising. I think that the bottom two functions in matrix C have to be replaced by T and M.
When running in Mathcad 15 it says: out of memory. Did you experience the same? Do you know a workaround for this (perhaps preventing unnecessary inline evaluations in LODEsolve)?
Kind regards,
Ton
Hi Ton,
You're so right. I made a mistake there (copy-paste error), sorry for that.
I've changed the last two calls in the definition of C, but alas: no solution is found.
It may be the reason that Mathcad 15 runs out of memory on this problem. I guess you're aware that Mathcad 11 uses a completely different symbolic solver from what Mathcad 15 uses. That is also the reason why there's a LODEsolve.mcd different from LODEsolve.xmcd.
I may have made another error elsewhere, or the system as defined can't be solved.
Anyway, I hope I've shown you how it's done, with initial conditions other than 0.
Success!
Luc
