Question
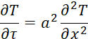
Solve 1-D partial differential equation of heat transfer:

If boundary conditions are:

on the left bound
; on the right bound
;
Initial condition is T(x,0)=300K
Obtain temperature distribution on each moment of time and each point of the dimension space(t0=0, tf=150 sec).

