Community Tip - Did you get called away in the middle of writing a post? Don't worry you can find your unfinished post later in the Drafts section of your profile page. X
Hello Everyone.
From the following :
Thanks in advance for your time and help.
Best Regards.
Loi.
Solved! Go to Solution.
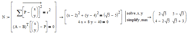
Again, your equation just asks for a point with a given distance (the radius of the inscribed circle) from a point P.
As was already shown there are an infinite number of such points, all on a circle around P and you were given a number of ways to analytically describe all those points.
When you ask Mathcad to solve your equation, how should Mathcad know that you just want one specific point out of the infinite number of possible points? You seem to want Mathcad to give you the coordinates of the center of the inscribed circle . I showed a simpler way to get these coordinates. So why do you want to make it that complicated?? Whats the point?
To calculate the center of the inscribed circle, you would have to add additional conditions. Maybe you demand, that it should lie on the angle bisecting line through B.
You still get two solutions of course which means you will still have to add an additional constraint like a second angle bisecting line.
And if you want to do Mathcads symbolics a favor you should get rid of the absolute value and use the squared distance.
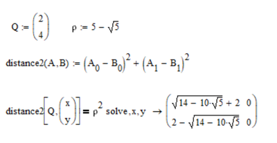
Its even easier if you use the normal to AB through P, but of course as you intersect a circle with a straight line, you again get two solutions:
And of course you get a unique solution by getting rid of the circle and using the two lines only:
And given that P (which came out of the blue) is actually the point where the inscribed circle touches the line AB, you can easily calculate the center of the inscribed circle by running the length r along the normal to AB through P. You just have to take care to run in the correct direction 😉
Here you should see what was done
You know that your equations have an infinite number of solutions?
I admire your faith in the capabilities of muPad, but it ever so often delivers wrong results, too ....
You may help Mathcads symbolics with the distance formula and get a meaningful result
compared with the useless
EDIT: Thats really crazy! Mathcad crashed and when I reloaded the worksheet, I see this:
and this
Have no explanation!! 🙄
I attach the sheet as it is now. Don't know what you will see when you open it 😉
Many thanks, Ttokoro and Werner. And my MathCad 15's engine sometime also say : " out of memory ... "
Werner, I try out on Ttokoro's example #2 then it say as the following :
Have no explanation, neither. 🤔 🙄
Thanks again for your time and help.
Best Regards.
Loi.
I don't know what you mean with "Ttokoro's example #2". As far as I can see he had just shown a way to plot the circle you are asking for.
I also don't understand what you are actually looking for. basically you are just asking for all points on a circle with center (2/4) and radius So what kind of symbolic exact "solution" do you expect??
With
the equation of the circle is
You can solve it for y to get functions for the upper and lower half circle
Or you can use a parameter representation of the circle
Or following ttokoros suggestion you may also use a parameter representation using complex numbers:
So again - what are you actually looking for??
EDIT: Can it be that you are just looking for this:
BTW, my remark about having no explanation was because my sheet had shown a symbolic result before it crashes but a completely different one upon reopening it after the crash.
@Werner_E wrote:
So again - what are you actually looking for??
EDIT: Can it be that you are just looking for this:
Not P but ( x , y ).
Not P but ( x , y ).
Best Regards.
Loi.
Again, your equation just asks for a point with a given distance (the radius of the inscribed circle) from a point P.
As was already shown there are an infinite number of such points, all on a circle around P and you were given a number of ways to analytically describe all those points.
When you ask Mathcad to solve your equation, how should Mathcad know that you just want one specific point out of the infinite number of possible points? You seem to want Mathcad to give you the coordinates of the center of the inscribed circle . I showed a simpler way to get these coordinates. So why do you want to make it that complicated?? Whats the point?
To calculate the center of the inscribed circle, you would have to add additional conditions. Maybe you demand, that it should lie on the angle bisecting line through B.
You still get two solutions of course which means you will still have to add an additional constraint like a second angle bisecting line.
And if you want to do Mathcads symbolics a favor you should get rid of the absolute value and use the squared distance.
Its even easier if you use the normal to AB through P, but of course as you intersect a circle with a straight line, you again get two solutions:
And of course you get a unique solution by getting rid of the circle and using the two lines only:
And given that P (which came out of the blue) is actually the point where the inscribed circle touches the line AB, you can easily calculate the center of the inscribed circle by running the length r along the normal to AB through P. You just have to take care to run in the correct direction 😉
Here you should see what was done
