System of differential equations problem
- August 12, 2022
- 1 reply
- 1355 views
Hello,
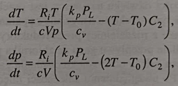
I am trying to solve a system of differential equations to calculate the change of temperature and pressure in switchgear during an arc fault. The equations are as follows:

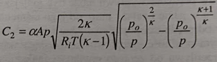
where C2 equals:

"T" is temperature and "p" is the pressure, PL is the power of the arc which is a function of time and is calculated earlier. The rest are constants.
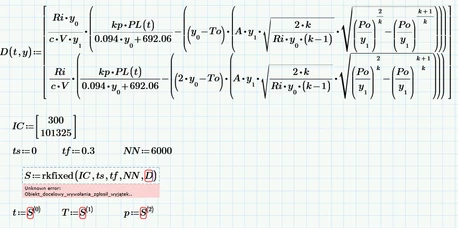
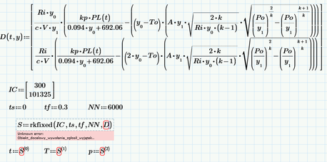
I've attemped to calculate this in Mathcad Prime 8 using the rkfixed function, inputting the full equations with the C2 factored into the them:

I've input "T" as "y0" and "p" as "y1" in the equations using the matrix index operator. The first equation if for temperature and the second for pressure. The initial conditions are for the initial temperature of 300 and pressure of 101325.
I'm getting an unknown error which roughly translates to "calling object expection". It does seem to dissapear when i replace one of the "y0" or "y1" variables with a constant in the second equation, but not in the first. However the results are then incorrect.
I would like to ask if it's even possible to solve such a system of equations using this method, or is there something else entirely I should be doing?
If it is possible, then what might be causing this error?
I'm attaching the worksheet, the shown above equations are at the botton of page 2. On page one i've calulated the currents and power "PL".
Thank you for any help!




