Community Tip - New to the community? Learn how to post a question and get help from PTC and industry experts! X
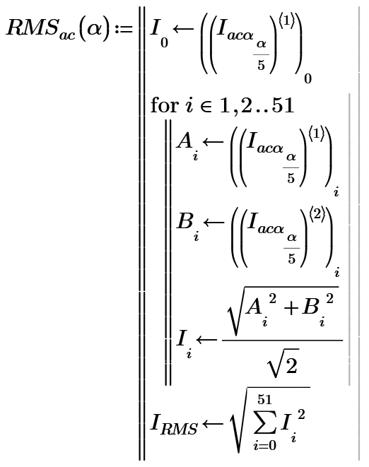
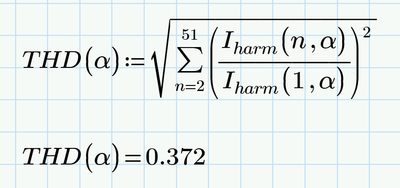
So, I've been able to work through all the values so far but seems like I have a problem with the summation notation since the THD of alpha does not converge to a solution:
Solved! Go to Solution.
Not sure why, but the problem is "only" n=2 and function I.a
The function you integrate does not look malicious
Some additional observations:
EDIT:
Solution - Set the system variable TOL to a lower value. Either write TOL:=10^-8 at the top of the sheet in front of the function definitions or use the menu.
Doing so makes the integral converge
The plot below with variable values of alpha takes very long. I stopped it and used a larger step width to speed it up.
It looks like THD is independent from alpha
File?
I get a notification saying I can't post the file using the email, is there any way to attach the file here?
Drag and drop.
Not sure why, but the problem is "only" n=2 and function I.a
The function you integrate does not look malicious
Some additional observations:
EDIT:
Solution - Set the system variable TOL to a lower value. Either write TOL:=10^-8 at the top of the sheet in front of the function definitions or use the menu.
Doing so makes the integral converge
The plot below with variable values of alpha takes very long. I stopped it and used a larger step width to speed it up.
It looks like THD is independent from alpha
Great Werner_E! Well done! Congratulation
walter
Its not that difficult to track down errors like this using "try..on error".
It was surprising that just the single value n=9 threw the error and all others worked fine.
The usual way would be to increase the value of CTOL and see if convergence could be achieved that way. Not sure why I had the idea to decrease TOL 😉
Thank you for the tip. Its interesting to find out why value of n=9 creates an error. I appreciate your help.
@cadtelsim wrote:
Thank you for the tip. Its interesting to find out why value of n=9 creates an error. I appreciate your help.
Yeah, if you find out, let us know.
Thank you for the detailed analysis. This complete analysis will be instrumental in learning features of Mathcad along with the limitations of THD of ac current related to the delay angle. I'll fully study this document.
To calculate correctry, TOL is sensitive and integral from -L to L gives bug error at 80 to 100 degree.
Divide it from -L to 0 and from 0 to L makes good answer. Prime 9.
Thank you for the detailed response. I will do my best to replicate this to understand Mathcad features better.
ttokoro, could you tell me please what is the meaning of the signal On(t, alfa) and FC(f,N,L) ?
On(t,alpha) is unit step function to make rectifired signal(t) at angle alpha. It is pink plot below to make blue voltage signal.
FC(f,N,L) is a function in Mathcad help or tutorial of Fourier transform function. f is waveform, N is evaluated harmonics number and L is a half of fundamental period T.
I am using Prime 9, and I looked under the FFT examples provided under Help in Resources menu, but I couldn't find it.
sorry, I found it eventually.
Hi ttokoro,
Could you tell me please, how did you fill in the area under the On(t,alfa) graph with color?
Just change the x-y plot format to bar type.
Hi ttokoro,
I would like to know one more thing. Could you tell me please, why is it needed to multiply the input ac voltage with the step function and then to divide it to the Rload for calculating the ac supply current, and not just dividing the ac input voltage to the Rload?
Thank you,
Ofcourse if you using R only and not includes L or C, the shape of i(t) is as same as v(t). Then the Harmonic Distortion of AC current is as same as Voltage waveform. But to find the Total Harmonic Distortion of AC current, it must use Fourier Analysis. And it is very good question to calcilate RMS value of wave signals with using both
Could you tell me please where is it defined phi (t) (greek name)l signal that is used for calculating the signal On(t,alfa)?
Could you share please the definition of phi(t)?
Thank you.
The functionis the Heaviside function, or unit step function. It is predefined in Mathcad and Prime. It results in 0 for t<0, and 1 for t>0. The value for t=0 is debatable, that is, the result differs depending on who you ask:
Numerics in Prime:
Numerics in Mathcad 11:
I think the symbolic processor in Mathcad 11 gives the best value:
Success!
Luc
Hello Luc,
For the Heaviside Step Function, it is written that to type Φ, press F, Ctrl+G, which I followed, and the Mathcad tool is saying that Φ variable is undefined.
Could you tell me please what I did wrong?
Thank you
You need capital phi
Type an F, then [CTRL-G]
Success!
Luc
it works, thank you!
I have one more question, related to the definition of the variables using index notation.
Could you tell me please, how could be done this without predefining the index values, like for Vrms, Tcycle, and so on?
