cancel
Showing results for 
Search instead for 
Did you mean: 
cancel
Showing results for 
Search instead for 
Did you mean: 

Community Tip - If community subscription notifications are filling up your inbox you can set up a daily digest and get all your notifications in a single email. X

Translate the entire conversation x

Why I have not a solution in Mathcad 15. All OK in SMath?

ValeryOchkov
24-Ruby IV

Why I have not a solution in Mathcad 15. All OK in SMath?

Newton.png

ACCEPTED SOLUTION

Accepted Solutions

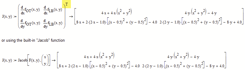
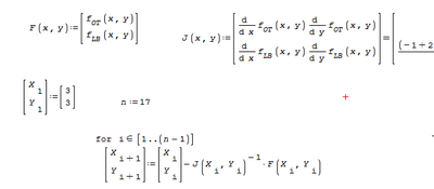
Your definition of the Jacobian is wrong.

Werner_E_0-1707399063874.png

 

 

View solution in original post

2 REPLIES 2

Your definition of the Jacobian is wrong.

Werner_E_0-1707399063874.png

 

 

Sorry

Announcements

Top Tags