Community Tip - Visit the PTCooler (the community lounge) to get to know your fellow community members and check out some of Dale's Friday Humor posts! X
33
11
11
22
Greetings, I tried to create custom functions in mathcad and it asks to do so, however when I tried to create the function fc and fc1 I found an error message
----------------------------------------------
Translated the text from Spanish to English using google translate
Body - Saludos intente crar funciones personalizadas en mathcad y pude hacerlo, sin embargo cuando intente crear la funcion fc y fc1 encontre un mensaje de error
--By Community Moderation Team
----------------------------------------------
Solved! Go to Solution.
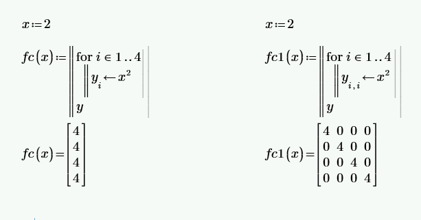
There's just one problem here, the indices on the return vector/matrix are switched. Per the Mathcad Prime documentation for LRESULT:
Hi @DM_10631844,
Thank you for your question.
Your post appears well documented but has not yet received any response. I am replying to raise awareness. Hopefully, another community member will be able to help.
Regards,
Vivek N
Community Moderation Team.
There's just one problem here, the indices on the return vector/matrix are switched. Per the Mathcad Prime documentation for LRESULT:
@DM_10631844 - Please accept the above as the answer if appropriate.
I've attached my version of your code basing it on the standard template provided by PTC. I had to change the extension from ".C" to ".txt" to post it here. you'll need to change it back to use it. It gives the following result in Mathcad Prime:
It only works for visual studio command promp so it has worked for you?
Could you tell me how it would be like this please? @terryhendicott @JeffH1
In Visual Studio IDE:
In the VS Project Options:
I think that should do it. Output DLL will be in the x64 folder of the VS project.
Thank you, perfect, first I review it and I assume your answer is valid, thank you very much, greetings
