Community Tip - If community subscription notifications are filling up your inbox you can set up a daily digest and get all your notifications in a single email. X
Hello to all,
After converting a Mathcad 15 file to Prime 10, I encountered an issue with calculating the gradient of a vector function. While it works seamlessly in Mathcad 15, the same function does not yield the expected results in Mathcad Prime 10.
Is there anyone familiar with this issue who can tell me what needs to be adjusted or modified in Mathcad Prime to make it work?
I am attaching a file with the function and the gradient, as I converted it from Mathcad 15 to Prime 10.
I really appreciate any help you can provide.
Rogelio
Solved! Go to Solution.
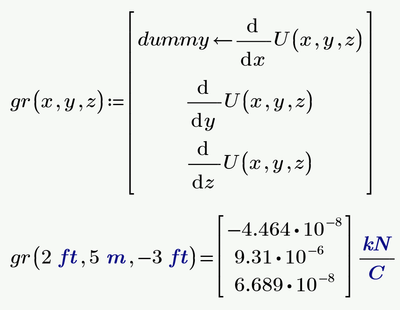
What you experience is a new bug in Prime 10 with derivatives of functions with more than 2 arguments.
A workaround I found is the addition of an assignment
Actually it does not matter if the assignment has anything to do with the function and its arguments - any dummy assignment will do.
The very same applies if you use the Nabla operator to define the function
Here some links to threads which also deal with this bug
Solved: Re: Function Worked in Prime 9, but not in Prime 1... - PTC Community
Error in a function of a root function PRIME10 - PTC Community
Solved: Re: A function or a variable name is required when... - PTC Community
Prime10 file attached
What you experience is a new bug in Prime 10 with derivatives of functions with more than 2 arguments.
A workaround I found is the addition of an assignment
Actually it does not matter if the assignment has anything to do with the function and its arguments - any dummy assignment will do.
The very same applies if you use the Nabla operator to define the function
Here some links to threads which also deal with this bug
Solved: Re: Function Worked in Prime 9, but not in Prime 1... - PTC Community
Error in a function of a root function PRIME10 - PTC Community
Solved: Re: A function or a variable name is required when... - PTC Community
Prime10 file attached
Good morning Wener and Terry,
the solution that best worked in my spreadsheet was the one using the dummy assignation on the first derivative.
Now, I am having another issue, calculating the normal vector to a cylinder. This is also that works very well in Mathcad 15 but when I try it in Prime 10 does not work.
I do not know how to attached a file when replaying so, I will open a new thread.
Thank you
Rogelio
