Community Tip - Did you get called away in the middle of writing a post? Don't worry you can find your unfinished post later in the Drafts section of your profile page. X
i attached the file, its quite the problem. i did the actual movement using the acceleration on solid works. but i cant get my Mathcad graphs to match. i just cant help but feel like its due to my lack of experience in Mathcad.
I wonder why you define an inner radius and an outer radius, but they don't appear in the very first expression for acceleration.
What are those funny numbers 23.3 and 5.4? Are they in any way related to inner and outer radius? If yes: then use those symbols in your symbolic expressions rather than some funny numbers.
Then you may want to carry those symbols along with the expressions for acceleration, velocity and position, so instead of a(t) you'd have:
a(t, r.i, r.o) etc.
That would eliminate your troubles with units in symbolic expressions, and prevent the ridiculous number of decimals in theta(t) etc.
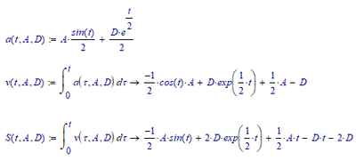
My rule of thumb is: in symbolic expression use only symbols and integer numbers (prevent using reals).
So in the expression for a, you should also use division by 2 instead of multiplication by 0.5.
Here's an example:
You may want to add a frequency (and two pi) in the sine, and a tau in the exp...
Success!
Luc
I am also confused as of your acceleration function - where does it stem from and why up to the displacement none of the radiuses is in play?
I can't comment on your equations and calculations, but maybe it helps to say that you see more "bumps" if you increase the end value of T:
Can't comment on the difference to your picture of solid works as this lacks units and scaling.
BTW, you still haven't closed your previous thread -> Re: Plotting failed. replace complex values and Na... - PTC Community
But I see that you now have turned on Units in Symbolics and added the seconds in the calculations of velocity and displacement.
You sure should try Lucs suggestion to use the symbolics on symbols only and add values and units only later.
Furthermore I still would prefer to use correct time unit for t, if, as I suppose, t should denote a time.
A start, following Lucs suggestions, could look like this:
