Community Tip - Have a PTC product question you need answered fast? Chances are someone has asked it before. Learn about the community search. X
Is it possible to get a more clear result, and how can I solve the two angles ?
Solved! Go to Solution.
@kenan2 wrote:
Okay is it possible to find a solution in the interval [pi ; 2*pi] ?
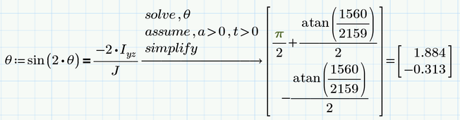
If you tell Prime via an "assume" statement it should deliver what you demand. In case of your (unsimplified) expression Prime/muPad has difficulties finding a solution so we can help a little by splitting the task into two parts:
You may experiment by adding "simplify" and/or "rewrite,asin" at the end of the second symbolic eval to see the very same result written in different ways.
BTW, this is another example where the new symbolic in Prime 6 fails to find a solution.
Keep in mind that sqrt(x^2)=x is only valid if we can assume that x>0.
So in your result a and t cancel only if we assume that both are real and >0.
Okay is it possible to find a solution in the interval [pi ; 2*pi] ?
@kenan2 wrote:
Okay is it possible to find a solution in the interval [pi ; 2*pi] ?
If you tell Prime via an "assume" statement it should deliver what you demand. In case of your (unsimplified) expression Prime/muPad has difficulties finding a solution so we can help a little by splitting the task into two parts:
You may experiment by adding "simplify" and/or "rewrite,asin" at the end of the second symbolic eval to see the very same result written in different ways.
BTW, this is another example where the new symbolic in Prime 6 fails to find a solution.
Thank you!
Another question, is it possible to remove all this red circles ?
@kenan2 wrote:
Thank you!
Another question, is it possible to remove all this red circles ?
Defining functions as Luc suggested is the mathematically cleanest way, but can get confusing if you have a lot of dependencies.
There are other ways, but they must be handled quite careful.
The red circles stem from the numerics, not the sybolics, because the expression cannot be evaluated numerically as a and t are not defined.
1) Following an assignment immediately by a symbolic evaluation cures that (I am not sure, why), but it doesn't look good to have the same or similar expression displayed twice
2) You can assign values to the variables (a, t) and then clear the variables for symbolic evaluation. You may hide those regions in a collapsed area. You may assign any numeric value but I prefer to assign NaN (Not-a-Number). So when accidentality a numeric evaluation is done later in the sheet, the problem can be spotted more easily.
Furthermore its a good idea to clear the variables completely whenever possible. But keep in mind that the already calculated variables (like Ix in my example) still keep their values!
