Community Tip - Did you get an answer that solved your problem? Please mark it as an Accepted Solution so others with the same problem can find the answer easily. X
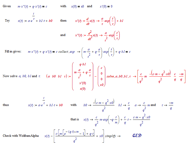
I am trying to solve a second order ordinary differential equation.
I had attached mcdx file for reference.
It says " This Value must be a function".
Please suggest the solution if possible.
my final requirement to plot the x(t), x'(t) & x''(t)
Thanks a lot ValeryOchkov for quick solution of my problem.
@madhukwd77 wrote:
Thanks a lot ValeryOchkov for quick solution of my problem.
You welcome!
I do marks "solved" and "kudo"
in same cases!
There are other ways:
Attached is a Prime 5 file with a plot of this solution.
Success!
Luc
Like this...Valery?
Or did you want to see the quick method:
