Community Tip - Need to share some code when posting a question or reply? Make sure to use the "Insert code sample" menu option. Learn more! X
I am exploring solving equations.
Took a utube video.
My workng file attached here to.
I would like to get around this issue,
Pl. help.
Solved! Go to Solution.
Do it as indicated.
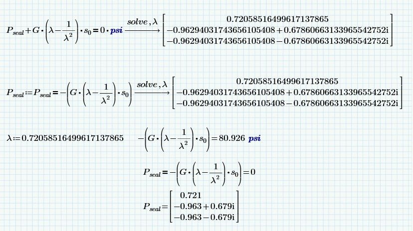
One equation (shown one) sets a result to a comparison resulting in Pseal either one or zero. so the equation being solved is -(G*(lambda-1/lamda^2)*so equal to 1 or zero. Then sets Pseal to the answer.
The first simply needs a unit added for the equality comparison to make sense.
Do it as indicated.
One equation (shown one) sets a result to a comparison resulting in Pseal either one or zero. so the equation being solved is -(G*(lambda-1/lamda^2)*so equal to 1 or zero. Then sets Pseal to the answer.
The first simply needs a unit added for the equality comparison to make sense.
Are you using the current Prime 10.0.1.0 ?
When I open your sheet and let it recalculate i get an error (variable P.seal not defined)
Reason seems to be the inline evaluation after the definition of P.seal.
When I delete the inline assignment, I see this:
Only if I define P.seal using the the unit psi right away it works as desired (and it does not matter if the unit psi is added to the zero or not)
The symbolics used to use the latest expression in a series of evaluations and so it should use the value in psi when we use the inline evaluation.
I don't know why it throws an error when using the inline eval now and it looks to me as a new bug.
So if you don't use the latest release of Prime 10 it may be a bug introduced in the latest 10.0.1.0
EDIT: It may have nothing to do with the latest release but seems to be a problem with a combination of language setting and unit system setting.
See my answer below.
Hah!!
The aforementioned results were obtained when using Prime 10 in its native language setting which is German in my case.
When I start Prime using the command line parameter "/culture:en-US" to run in English, I get the desired result when I let the sheet of @RWickrama recalculate without making any changes..
Which language do you use Prime in?
Further observations using Prime in German:
When I let the original sheet recalculate, I get again the undefined variable error:
When I switch from unit system USCS to SI, I get this
Of course the symbolics does not know anything about units and can't see that Pa and psi are units of the same dimension,
So I used inline evaluation at the definition of G as well to use Pa instead of psi, and , voila!
So its clearly a bug. The problem is a combination of language setting and unit system setting.
Somebody may care to report it to PTC R&D.
Thank you for your kind help that led me to gain more knowledge in Mathcad Prime.
I use English language (only).
Thank you, sir.
Not sure why I forgot to match units. I may not not forget again.
You could first solve for the general solution, then fill in the data. Like this:
(Gives a huge result vector, potentially too large to display.
But you now have a function lambda of three parameters that you should be able tom use.)
Then define your data:
And calculate the result:
In case you are only interested in the real result (as opposed to the complex ones):
But if you specifically want a complex result:
Success!
Luc
