Community Tip - When posting, your subject should be specific and summarize your question. Here are some additional tips on asking a great question. X
Hi, i am doing some calculations on a project and am quite new to Mathcad. When using the solve block i keep on getting an error and i dont know how to solve this one. Any idea where i might be wrong?
Solved! Go to Solution.
Check your equations!
You have 5 equations, and want to solve for only 3 variables. Normally you have 3 (independent) equations to solve for 3 variables.
If I take just the first 3 equations, those in moments, and solve them I get:
This is the symbolic solution, which can be found.
Then I try to evaluate it numerically, I get:
(Complaint that sol is undefined). On closer inspection the first 2 items have this is the numerator:
Which, upon numeric evaluation yields:
And that's exactly zero because:
So you get a division by 0. Hence Prime judges sol to be undefined.
And also Prime indicates the solve block cannot be solved.
The two extra constraints in your solve block will not help to remedy this problem.
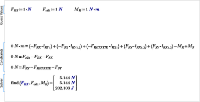
However, if I remove the first two constraints, I get this result:
Check your equations.
Success!
Luc
My first observation is that many of your constraints are not unit consistent; you mix terms of force (N} with moment (N m). Fix that, see if it helps.
Attaching the file would help too!
This is the part where i am stuck, unfortunately i cant upload the whole document
Check your equations!
You have 5 equations, and want to solve for only 3 variables. Normally you have 3 (independent) equations to solve for 3 variables.
If I take just the first 3 equations, those in moments, and solve them I get:
This is the symbolic solution, which can be found.
Then I try to evaluate it numerically, I get:
(Complaint that sol is undefined). On closer inspection the first 2 items have this is the numerator:
Which, upon numeric evaluation yields:
And that's exactly zero because:
So you get a division by 0. Hence Prime judges sol to be undefined.
And also Prime indicates the solve block cannot be solved.
The two extra constraints in your solve block will not help to remedy this problem.
However, if I remove the first two constraints, I get this result:
Check your equations.
Success!
Luc
Thank you so much for your help.
Hi,
Can you please upload the worksheet?
Cheers
Terry
