We are aware of an issue causing pages to load incorrectly for some users and expect a fix soon. Sorry for the inconvenience.
Hi someone who can help solve this can't make it work....
Solved! Go to Solution.
You can't use "find" multiple times, but you can use multiple arguments in the find function and assign the result to a vector of variables:
You can't use "find" multiple times, but you can use multiple arguments in the find function and assign the result to a vector of variables:
Thank you !
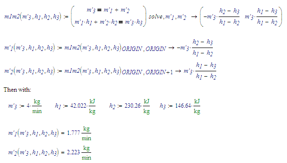
Note that you are missing a few solutions...
Due to the guess values the solve block gave you just the first of each of four solutions.
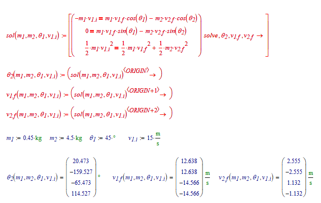
With the expressions, it's easy to see what happens, e.g. if theta1 is varied:
Success!
Luc
thanks but so complicated it should not be. It's simple physics calculation
1) You forgot about the guess values
2) Your equal sign in the fist equation is a definition, but it should be a boolean equal
3) While playing around with your sheet I experienced strange results and the reason was Primes infamous auto labelling. You have to take care and look that all variables (especially m1' and m2') are labelled the same (either all "variable" or all automatic "-").
4) Its no problem in your sheet but using the apostrophe the way you did is at least a bit problematic as you may confuse it with the prime symbol of a derivation.
Worksheet in format P5 attached
Thank you for your answer but I still get change values. I've done everything your said...
I send my document again.
As Werner explained: this autolabellling feature of Prime has good and bad sides.
Notice that some of your m1 variables are labelled 'variable' and others are labelled '(variable)'. I'm afraid that makes them different. You should set the '(variable)' labels explicitly to 'variable'.
How about:
Oh, and by the way, given the units of your m' variables, they appear to be mass per unit of time quantities. So you probably chose the right notation, with the prime ('). Note however that prime notation is also used in solve blocks to solve differential equations using the odesolve() function instead of find().
Success!
Luc
I don't think you understand me I can make it work the other way. But can't make it work with solve blocks. Thanks.
@kenan2 wrote:
Thank you for your answer but I still get change values. I've done everything your said...
I send my document again.
Look at item 2) in my answer above. You still have the wrong equal sign in your first equation
I've done everything you said. It still gives strange values. Especially if I change where I guess then the answer changes. But may well see it works in your document but not in mine has also marked everything as variable
@kenan2 wrote:
I've done everything you said.
NO! You did NOT! You still did not change the equal sign in your first equation.
It should NOT read m3 := m1 + m2 but rather should read m3 = m1 + m2 with the big fat comparison equal sign!
@kenan2 wrote:
No I have not. See the new one I had attached! :D
Sure your still have the wrong assignment equal sign (:=)!
!!!!Your new picture clearly shows that you still have the wrong equal sign!!!!
m3 := ... IS WRONG! You need the big fat boolean equal sign here as in your second equation. Look at the sheet I posted in my last answer.
