Community Tip - Visit the PTCooler (the community lounge) to get to know your fellow community members and check out some of Dale's Friday Humor posts! X
Hi there!
I 'm trying to master the slider advanced control option to see how my goal function will be changed. On the PTC support page, I have found only the 2-axis plot sample:
It looks like the upgraded version of Prime 10.0.0 probably has some bugs, or it is impossible to obtain such an option.
I've attached the function sample (Prime 10.0.0), which I'd like to observe using the advanced control button (slider).
Any advice or assistance will be appreciated.
Solved! Go to Solution.
@terryhendicott Thanks a lot.
The reason the visual changes haven't been seen is the sensitivity of the function alteration made by the slider.
Since the sensitivity was significantly changed, the changes became visible to the naked eye.
The 3D graph is changing with the slider.
Check the small alteration I have made to the formula so the surface changes curvature more.
@terryhendicott Thanks a lot.
The reason the visual changes haven't been seen is the sensitivity of the function alteration made by the slider.
Since the sensitivity was significantly changed, the changes became visible to the naked eye.
It does change, you just have some settings on your plot that make it very hard to notice.
If you, say, make the slider not go from 1 to 10 but from 1 to 10000 you'll very quickly notice that the axes are changing values even if the shape isn't.
@DJNewmanThank you. Yeap, I had to pay attention to this point; it wasn't seen at first glance.
Now I have a practice issue to research - how the k1 value depends on the d1 and d2 independent values.
I obtained the flat surface only using the slider ( for a particular value of d1 and d2, respectively). I understand that Prime did this calculus for only one pair of d1 and d1 values. Instead, it is useful to research the whole range of default independent values (d1 and, in my particular case), as they are easily obtained for the sample function (Slider usage sample file).
At this moment, two questions are up in my mind:
1) Why can I not see the trend through the range of these variables ( i.e., d1 and d2 changes from 1 to 100 cm) and the k1 value, too? (see Thermal performance calculation ... file).
2) Why can I not deliberately set the start of the axes for d1 and d2 values from zero point ( as it is possible to do with the X-Y plot type)? (as is possible for the X-Y plot, see the slider usage sample file.)
I want to use Prime's powerful engine possibilities, but they do not seem very suitable for my particular purpose (perhaps).
Any advice would be appeciated.
Hi,
The sliders are working. The 3D plots are from 0;0;0 . A flat plane results from the constant function k1 where d1, d2 do not form part of the function.
Have set a kJ unit so get answer in units required and this makes z axis easier to read.
I have taken some time to change the hidden calculations so the value of k1 and f are functions of d1 and d2.
The sliders still change the value of f and k1 when the sliders change.
However the changes to the hidden functions now allow a proper 3D plot so you can see what is happening.
The maximum value can be determined. It is not on a slider step of second slider.
Cheers
Terry
Hi,
And for a final touch changed the 3D plot to green.
Have put a red dot where the position of sliders calculate.
Mathcad Prime is a very handy and powerful tool.
Cheers
Thank you very much for such a clear explanation!
I'd like to clarify what index 10117 stands for at the moment)),
Suppose I'll crack it out!
From the first glance, the surface looks as if it is wrapping material.
Thanks a lot for your desire to help!
I'd like to clarify what index 10117 stands for at the moment))?
To make the 3D plot a matrix of three columns is made at many points.
The three columns of matrix represents x, y, and k1(x,y),
for x from 0 to 100 and y from 0 to 500 every 5 makes a very large matrix.
I have hidden the creation of this matrix in a collapsed area so you can see the sliders and the 3D plot in one go.
Index 10117 represents the row of this large matrix with the highest k1(x,y).
Cheers
Terry
Thank you, Terry, for your passion for helping with a particular issue.
Yes, I have got that the number reflects the point (element) of the k1 (x,y) matrix.
The only point I haven't caught is how Prime understood that in the FOR loop, he has to assign to each d1 value a particular x and d2 - a particular y value, respectively.
And in the magnified coefficient for y ( 5 times x), you have tried to figure out more clearly where the extremum point on the surface will be, haven't you?
Sorry for the endless questions list... ))
Hi Ivan,
The only point I haven't caught is how Prime understood that in the FOR loop, he has to assign to each d1 value a particular x and d2 - a particular y value, respectively.
The maximum value in the large matrix is determined in the coding following the graph not the FOR loop before the graph.
And in the magnified coefficient for y ( 5 times x), you have tried to figure out more clearly where the extremum point on the surface will be, haven't you?
the values of the sliders are multiplied by 0.01m.
the first slider goes from d1 = 0 mm to d1 = 100 mm hence the variation of x from 0 to 100 giving 101 points.
the second slider goes d2 = 0 mm to d2 = 500 mm hence the variation of y from 0 to 500 stepping every 5 mm for 101 points.
101 points is entirely arbitrary you could use 0.5 mm steps for x making 201 steps or 1 mm steps for y making 501 steps.
Here is the plot with x defined by 21 points:
Cheers
Terry
@terryhendicott I appreciate your goodwill in explaining,
I have tried several combinations with the correlation of d1, d2 and multiplier coefficient in the FOR loop...
To tell the truth, I'm not very good at coding. That's probably why I haven't mastered the trick you used to create the plot you picked. Could you please explain it, how you define number of points to represent the plot?
when I tried to decrease xi
My plot wasn't as your's one
I also tried to convert your code to a single-layer d1-k1 correlation, but I still have no idea why it isn't working as it should...
I also tried to convert your code to a single-layer d1-k1 correlation, but I still have no idea why it isn't working as it should...
Single layer maximum on slider is 50 multiplied by 0.01m is 500 mm
This means X on the 2D plot needs to go from 0 to 500.
Y on the plot needs to be k1(x)
If interval for xi is chosen as 0 to 100 index to match x of 0 to 500 mm need to multiply xi by 5 for each x.
Will answer the 3D plot questions in separate post.
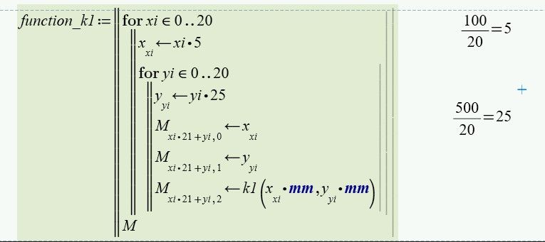
plaster has maximum of 10 on the slider by 0.01 m is 100 mm. Plaster goes from 0 to 100 mm
hempcrete has maximum of 50 on slider by 0.01 m is 500 mm. Hempcrete goes from 0 to 500 mm
plotting plaster with 0 to 20 points as index need 100/20 = 5 factor from index to d1 distance in mm
plotting hempcrete with 0 to 20 points as index need 500/20 = 25 factor from index to d2 distance in mm.
Note the stepping index of M i snow x *21 +y
Super thanks, Terry!!! You probably have some teaching experience background!!🤗
Hi Ivan
was a sailplane instructor
gave computer lessons in a community center as a volunteer.
Cheers
Terry.
@terryhendicottThis is a Pretty cool and simple explanation, as everything ingenious is simple! Thank you very much, Terry!!!
