Community Tip - Did you get called away in the middle of writing a post? Don't worry you can find your unfinished post later in the Drafts section of your profile page. X
Good morning, PTC Community:
Objective:
Given circle ID, and fixed value "a" for the equivalent in area & perimeter ellipse, goal seek the value of b.
I am encountering a "These units are not compatible" error. See attached.
Using Mathcad 10.0.1.0.
Your assistance will be appreciated.
JT
Solved! Go to Solution.
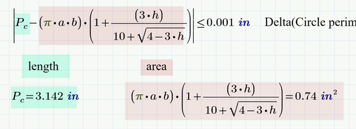
I see that you found your error (a+b) instead of (a*b).
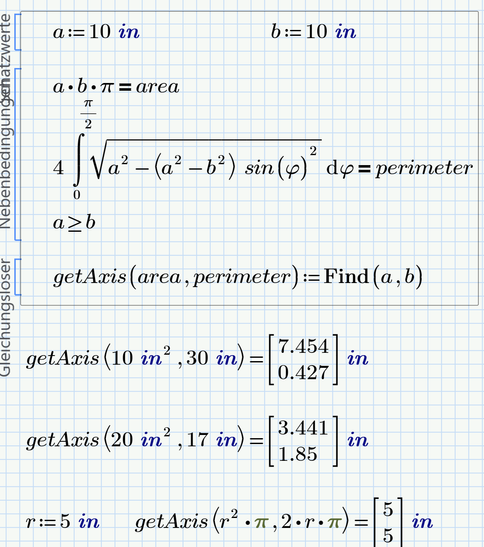
By specifying the values for the circumference and the area of an ellipse, the dimensions of the half axes a and b are clearly defined (except for the order of a>b or a<b).
And if the specifications correspond to those of a circle, then the solution is precisely this circle.
However, this has nothing to do with your original question about the unit mismatch error 😉
Here a demonstration using the 'exact' formula with the elliptic integral.
Input of the function "getAxis" are area and perimeter of the ellipse, output are the lengths of the two half axis a and b.
If the input corresponds to the values of a circle, the result is exactly that circle (a=b).
A circle is the ellipse with the least perimeter by a given area. So if you demand a perimeter too small, the solutions will be non-real.
In the example below the perimeter would have to be at least 35.449 inches to get real solutions.
A solve block does not return non-real solutions if the guess values are real.
To get the non-real solutions you would have to provide non-real guesses:
As you see we also get tiny imaginary parts in the real solutions as well. This is because of numerical inaccuracies, presumable because of the numerical evaluation of the integral, I guess.
Perhaps, it is not possible to have a circle and a unique ellipse that both have the same area and perimeter.
Yes, it is impossible to have a circle and ellipse that are both equal in area and perimeter, unless they are both circles!
Correction in the constraints block is attached.
I see that you found your error (a+b) instead of (a*b).
By specifying the values for the circumference and the area of an ellipse, the dimensions of the half axes a and b are clearly defined (except for the order of a>b or a<b).
And if the specifications correspond to those of a circle, then the solution is precisely this circle.
However, this has nothing to do with your original question about the unit mismatch error 😉
Here a demonstration using the 'exact' formula with the elliptic integral.
Input of the function "getAxis" are area and perimeter of the ellipse, output are the lengths of the two half axis a and b.
If the input corresponds to the values of a circle, the result is exactly that circle (a=b).
A circle is the ellipse with the least perimeter by a given area. So if you demand a perimeter too small, the solutions will be non-real.
In the example below the perimeter would have to be at least 35.449 inches to get real solutions.
A solve block does not return non-real solutions if the guess values are real.
To get the non-real solutions you would have to provide non-real guesses:
As you see we also get tiny imaginary parts in the real solutions as well. This is because of numerical inaccuracies, presumable because of the numerical evaluation of the integral, I guess.
Perfect. Thank you, Werner.
It all makes sense.
Regards,
Joseph T.
@thodij wrote:
Good morning, PTC Community:
Objective:
Given circle ID, and fixed value "a" for the equivalent in area & perimeter ellipse, goal seek the value of b.
I am encountering a "These units are not compatible" error. See attached.
Using Mathcad 10.0.1.0.
Your assistance will be appreciated.
JT
You cannot add or subtract a length and an area, hence the unit mismatch error.
In the approximation formula for the perimeter of an ellipse you made an error. It should read (a+b), NOT (a*b).
