Community Tip - Learn all about PTC Community Badges. Engage with PTC and see how many you can earn! X
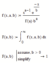
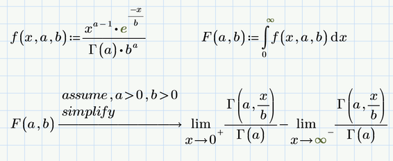
Could you please assist me with integrating the attached function in Mathcad? It represents the probability density function (pdf) of the Gamma distribution. I know that the integral should evaluate to 1, but I am unsure how to perform the integration in Mathcad without specifying the values for alpha and beta. When I assign specific values to these parameters, the integral correctly evaluates to 1, but I would like to achieve this result symbolically.
Your guidance on how to proceed would be greatly appreciated.
Try symbolic evaluation instead of numeric, -> right arrow instead of =.
If it is symbolically solvable you should get your answer. Otherwise you'll get an error.
Success!
Luc
To get the desired result 1 you have to assume that at least b>0 .
The symbolic engine in Mathcad 15 (muPad ) is able to do the simplification
but the engine in Prime (FriCAS/Axiom) unfortunately isn't
I could not find a way to talk Prime into returning the result 1.
BTW, I replaced alpha and beta by a and b because it was too annoying that I always had to fight against Primes auto-labelling which insisted to label alpha as being the predefined constant
In your sheet you will notice that some of the alphas you used also are labelled wrongly as Constant and not as Variable. Take care, as this may lead to unexpected numerical results.
EDIT: Reason for Prime's failing seems to be that the engine is not able to simplify the limits
Mathcad 11/Maple also wants a>0:
Luc
