Community Tip - Learn all about PTC Community Badges. Engage with PTC and see how many you can earn! X
Hi!
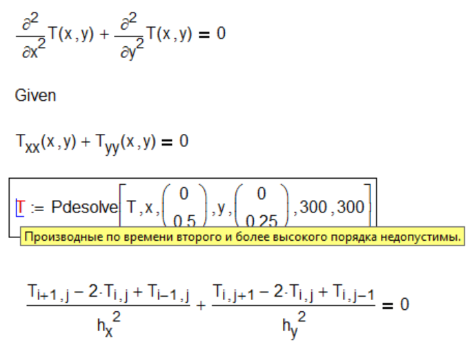
How can i write the 4th-6th term in the biharmonic equation, using mathcad 14?
Regards
Sigurd
Solved! Go to Solution.
Surely like so:

Is there any worksheet available to share? I am trying to solve the same problem but have difficulties with boundary conditions.
Thank you,
Payman
My try
My solution
The plot
Mathcad 15
