cancel
Showing results for 
Search instead for 
Did you mean: 
cancel
Showing results for 
Search instead for 
Did you mean: 

Community Tip - If community subscription notifications are filling up your inbox you can set up a daily digest and get all your notifications in a single email. X

Translate the entire conversation x

Catenary: step over or move?

ValeryOchkov
24-Ruby IV

Catenary: step over or move?

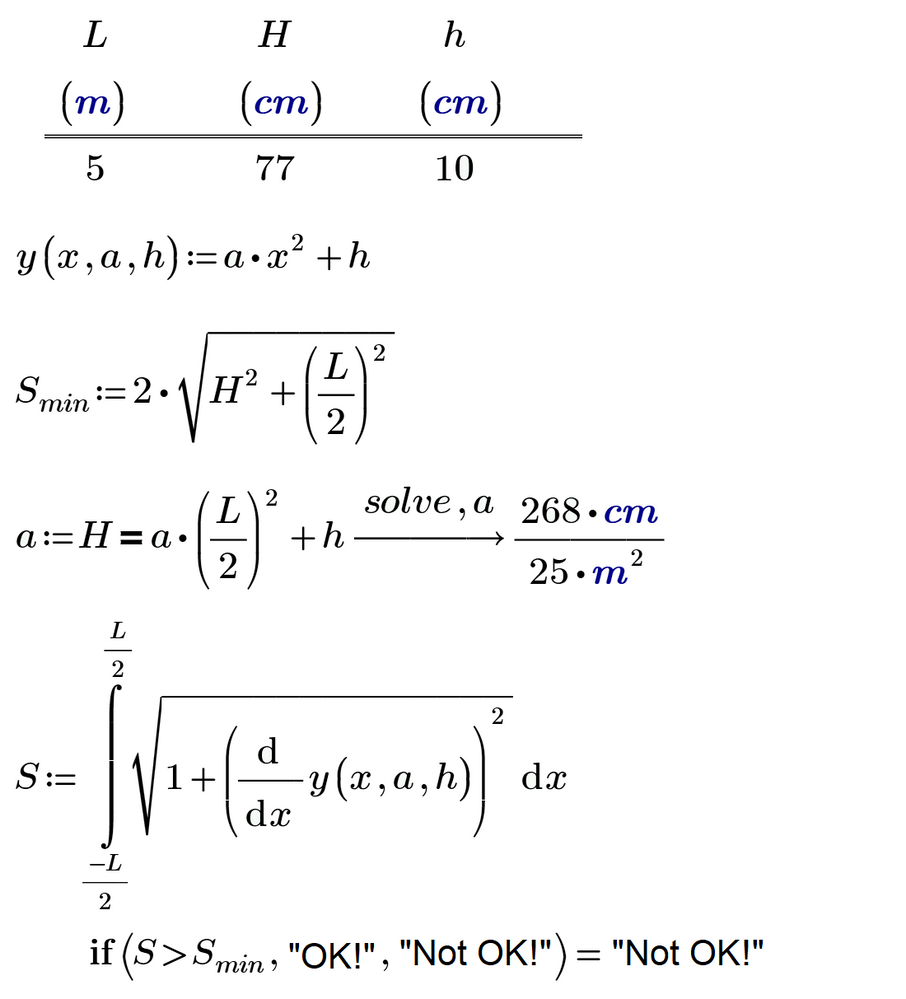
Color picture and Mathcad 15/Prime 6 sheets of the article and the book.

1-H-h-L.png2-Parabola-e.png3-Catenary-e.png3-Find-1-e.png6-Plot-2.png8-Cat-R-Scheme.png10-Input-PE.png11-Minimize-e.png12-3Plots.png13-Plots.png14-Drop.png15-oval.png

0 REPLIES 0
Announcements

Top Tags