Community Tip - Learn all about PTC Community Badges. Engage with PTC and see how many you can earn! X
Dear all,
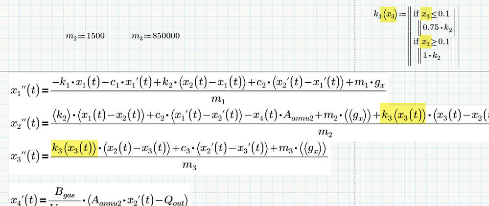
May I ask if anyone knows how to combine this 'if' function with these differential equations? k3 is a spring where the stiffness depends on the position of mass 3. In the attachment, I managed to achieve this in Python, but I didn't manage to do this in Mathcad.
Could someone help me so that I know for next time?"
Thanks in advance.
Solved! Go to Solution.
Dear Werner_E
Thank you it worked perfectly and I have only one remaining question. If I want to add the damping coefficient as add on in a function depending on speed it won't allow me to do this. It is not required for now but if i want to add this how do you handle this?
Thank you in advance
c3 and k3 are now functions dependent on the current value of x3(t).
So you must change every occurrence of c3 to c3(x3(t)) and the same for k3
