Community Tip - Did you get called away in the middle of writing a post? Don't worry you can find your unfinished post later in the Drafts section of your profile page. X
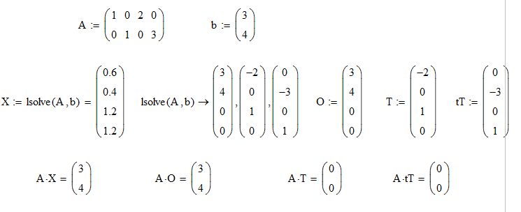
1. How can I extract each column of this solution
2, Why we have this solution in Prime
Solved! Go to Solution.
@Fred_Kohlhepp wrote:
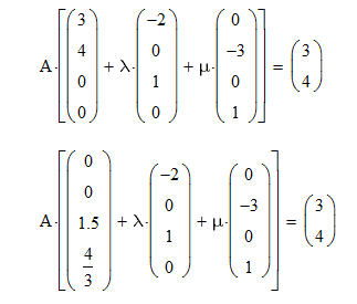
I understand. So why didn't the symbolics find the other solution?
Because there are many "other" solutions you may derive from the one given by changing the values of lambda and mu. A 2-dimensional manyfold in 4D-space.
You may see the set of solution vectors as a 2D-plane in 4D-space. It does not matter if you chose (3; 4; 0; 0) as anchor point or (0; 0; 3/2; 4/3). Its the same plane. We could also change the two vectors for others (linear combinations of the two) and it would still be the same manifold, the same plane.
Your solution can be derived from the one given by using lambda=3/2 and mu=4/3.
And to answer Valery's question: I have no idea how to automatically assign the three vectors of the symbolic lsolve command to varaibles without having to resort to copy and paste. I guess it will not be possible at all. As Prime writes the expression is not valid one. Nonetheless its a good thing that MC15 is showing it.
Not sure what the symbolic solver is doing, but two of it's solutions don't work!
@Fred_Kohlhepp wrote:
Not sure what the symbolic solver is doing, but two of it's solutions don't work!
Think you misinterpreted the symbolic result of lsolve
I understand. So why didn't the symbolics find the other solution?
@Fred_Kohlhepp wrote:
I understand. So why didn't the symbolics find the other solution?
Because there are many "other" solutions you may derive from the one given by changing the values of lambda and mu. A 2-dimensional manyfold in 4D-space.
You may see the set of solution vectors as a 2D-plane in 4D-space. It does not matter if you chose (3; 4; 0; 0) as anchor point or (0; 0; 3/2; 4/3). Its the same plane. We could also change the two vectors for others (linear combinations of the two) and it would still be the same manifold, the same plane.
Your solution can be derived from the one given by using lambda=3/2 and mu=4/3.
And to answer Valery's question: I have no idea how to automatically assign the three vectors of the symbolic lsolve command to varaibles without having to resort to copy and paste. I guess it will not be possible at all. As Prime writes the expression is not valid one. Nonetheless its a good thing that MC15 is showing it.
