Community Tip - Have a PTC product question you need answered fast? Chances are someone has asked it before. Learn about the community search. X
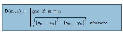
How do you enter the equation below in mathcad prime 4.0
thanks for the help
1.
Do you have a full license of Prime, or are you using Prime Express 4?
(In Express you cannot enter programs).
2.
The function is a bit awkward. What is gmr ?
Who are x and y?
Luc
This is an example of how it might work, regardless of whether you have full Prime, or Prime Express:
Success!
Luc
How are you entering the x sub m
You can do it this way:
Call up the Matrix-index (Depends on the ORIGIN Variable which is in "calculations" defined)
so gmr is a number = 0.0171
what i am trying to do is this but in the prime edition, i am new to mathcad
The simplest way to enter x sub m is by typing:
x [ m
Unless you happen to have the German language version of Prime where (according to Volker's picture) you'd have to type:
x <Ctl-Alt-[> m
where <Ctl-Alt-[> is pressing down the Ctrl key and the Alt key simultaneously and while they are down you hit the [ key once. Seems pretty much too cumbersome to me for such an often-used feature!
Success!
Luc
