Community Tip - Did you get an answer that solved your problem? Please mark it as an Accepted Solution so others with the same problem can find the answer easily. X
Hello,
Using this fit formula from below, how to determine a, b and c coefficients in such a way to fit the below plot Core Loss vs Flux density:
or
So, I think (but I do not know how to do) to read all the data points of each line (300kHz, 200kHz, etc) and then to make the curve fitting by using genfit Mathcad function, minerr or something like that.
Solved! Go to Solution.
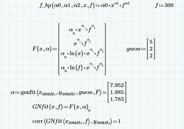
If the goal is to find a separate fit for every frequency given, you could also use "line" to do so.
Here for 300kHz:
"B300" is the very same which you called "b". But you would get a slightly different value when you do the same for the other frequencies.
10^A300 is your a*f^c with f=300.
But I guess that you are looking for constant values a, b and c which are valid for any frequency.
To find these values I would suggest using a solve block with "minerr":
Thereafter you may define a function P which is only dependent on B and f and because with Prime we are using something similar to Mathcad, it may be a good idea to add correct units
Now you can use this function with any input value you like
and of course also for plotting with different frequencies
And as its a function with two arguments, you may also create a 3D-Plot if you like
Prime 10 sheet atached
For example below are the data points for the 3 lines: 300kHz, 200kHz, and 100kHz lines from above graph.
MCP10 file attached.
Both x and y axis are log scale.
Now we need to find the values of a, b and c coefficients in such a way to be able to generate these lines also with the above formula by fitting these curve with that given formula, by using genfit/mineer or something similar mathcad functions.
Hi,
Have done the first line for you.
Cheers
Terry
If the goal is to find a separate fit for every frequency given, you could also use "line" to do so.
Here for 300kHz:
"B300" is the very same which you called "b". But you would get a slightly different value when you do the same for the other frequencies.
10^A300 is your a*f^c with f=300.
But I guess that you are looking for constant values a, b and c which are valid for any frequency.
To find these values I would suggest using a solve block with "minerr":
Thereafter you may define a function P which is only dependent on B and f and because with Prime we are using something similar to Mathcad, it may be a good idea to add correct units
Now you can use this function with any input value you like
and of course also for plotting with different frequencies
And as its a function with two arguments, you may also create a 3D-Plot if you like
Prime 10 sheet atached
