Community Tip - If community subscription notifications are filling up your inbox you can set up a daily digest and get all your notifications in a single email. X
For s=10*10^-9 and T =293, I obtain two different values of V_mag. Why? The mcdx file is attached herewith. pls help. I know the correct answer is -0.261 for V_mag. I wanna plot V_mag/k*T with s later on.
Your sheet is too chaotic for me.
Could you clean it up an show exactly side by side where you get different results you don't expect?
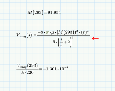
Different results may mean using different input values and I notice that the value of M (4.8*10^5) which is disabled on the left hand side is quite different from M(293)=92 which you use on the right hand side ...
Is this what you want
You should:
- Clean up your worksheet and state clearly (by showing side-by-side) what the difference is you see.
- State what version of Prime you are using.
- Know that Boltzmann constant and vacuum permeability are in the list of known constants in Prime (Check the constants in the section of Operators and symbols on the ribbon) :
Success!
Luc
Hi @ajay94_shan ,
I wanted to see if you got the help you needed.
If so, please mark the appropriate reply as the Accepted Solution or please feel free to detail in a reply what has helped you and mark it as the Accepted Solution. It will help other members who may have the same question.
Please note that industry experts also review the replies and may eventually accept one of them as solution on your behalf.
Of course, if you have more to share on your issue, please pursue the conversation.
Thanks,
