Community Tip - Learn all about the Community Ranking System, a fun gamification element of the PTC Community. X
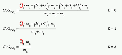
Hi, I want to calculate the center of gravity of all parts above various cross sections (k0, k1 & k2). So in the picture below, I calculate the center of gravity of m1, m2 and m3 at cross section k0. The next row would be to calculate the COG of m2 and m3 at k1 - and so on.
I would like to express this with a simple equation. Would appreciate any help.
Solved! Go to Solution.
Image of Mathcad Prime take moments about base line to find vertical centroid. There is insufficient information to determine horizontal centroid from left or right of the figure.
Thank you for your answers. So the horizontal CoG is more or less zero, I'm only interested in the vertical CoG. Also, what I am after, is to express the below in one equation. So if I want to calculate the moment on cross section k, I can multiply my CoG (which in this example is 3x1) with my force vector (also 3x1), and get the moment, which should also be a 3x1 vector.
Hope this clarifies. Thanks!
Thanks a bunch
