Community Tip - Have a PTC product question you need answered fast? Chances are someone has asked it before. Learn about the community search. X
Thanks to all!
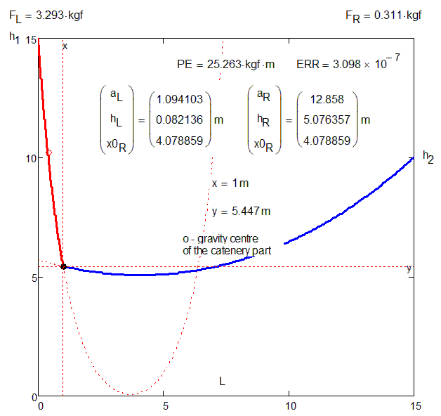
I hope I have solved this problem (6 parameters - 4 equations)
https://community.ptc.com/t5/PTC-Mathcad/Minimize-6-variables-and-4-equations/m-p/606542
6 parameters - 6 equations: all OK!
6 parameters - 4 equations: not all OK!
9 parameters - 5 equations: not all OK 😞
Color pictures of the article Кулон на цепочке
Fig. 1
Fig. 2
Fig. 3
Fig. 4
Fig. 5
Fig. 6
New edition of the article
